Figure 2
From: Soil bacterial community composition in rice-turtle coculture systems with different planting years

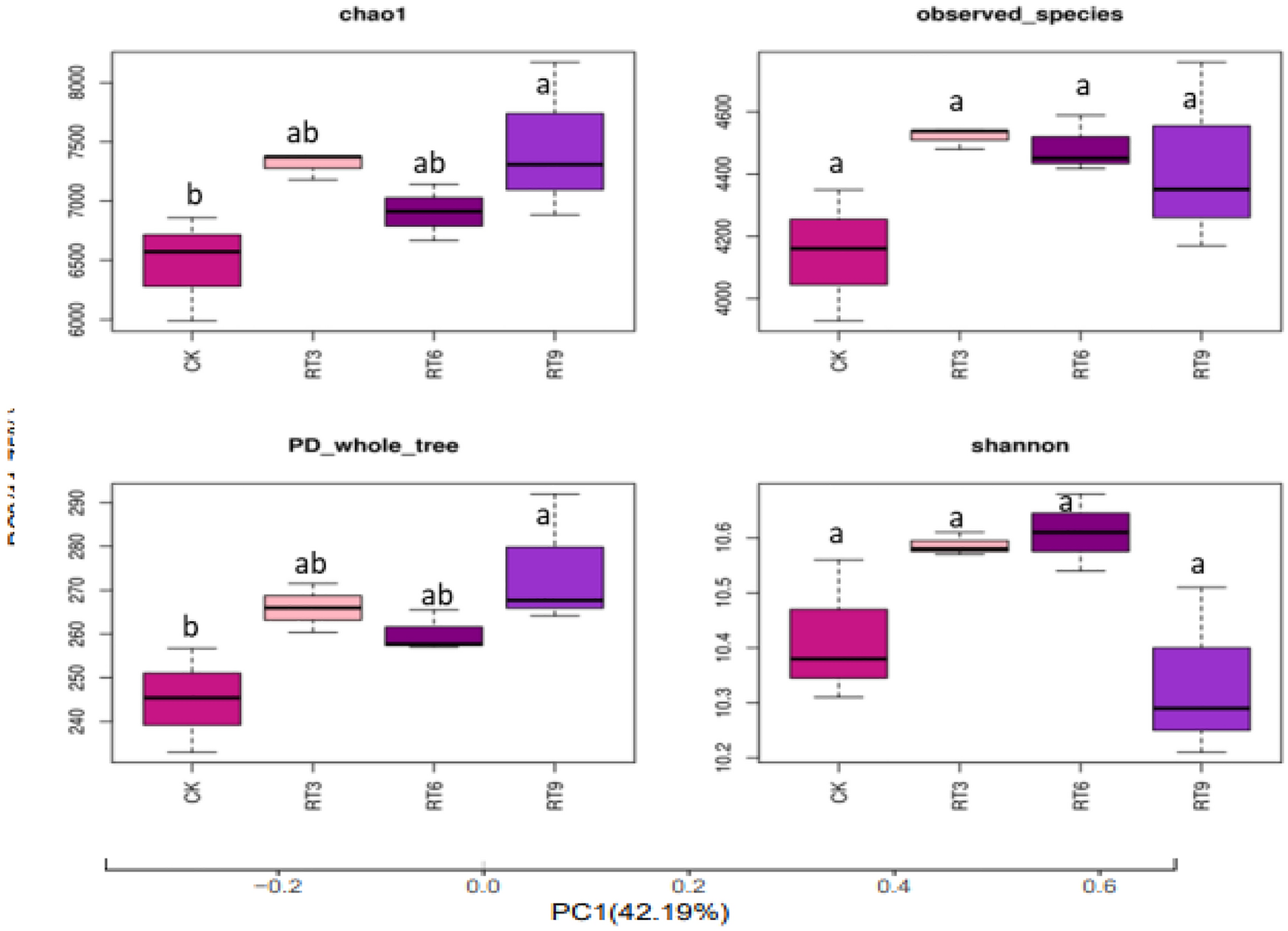
Bacterial diversity index of rice field soil in different riceturtle symbiosis fields. CK the rice monoculture field, RT3 the planting area in the 3rd year of rice-turtle field, RT6 the planting area in the 6th year of rice-turtle field, RT9 the planting area in the 9th year of rice-turtle field. Different letters indicate significant differences at P < 0.05.