Figure 3
From: Observation of superconductivity and enhanced upper critical field of η-carbide-type oxide Zr4Pd2O

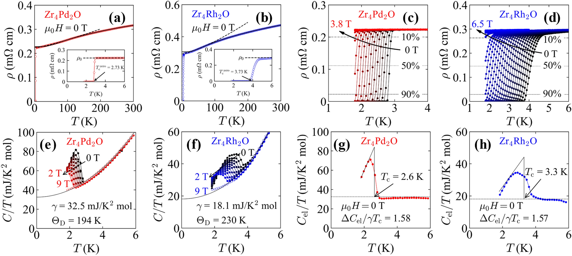
(a,b) Temperature dependences of electrical resistivity under zero field for (a) Zr4Pd2O and (b) Zr4Rh2O. The insets are enlarged view near Tc. The solid and dashed lines are fit to parallel resistor model and power-law model, respectively. (c,d) Temperature dependences of electrical resistivity under several magnetic fields for (c) Zr4Pd2O and (d) Zr4Rh2O. The dashed lines represent the 10%, 50%, and 90% criteria to determine temperature dependence of the upper critical field. (e,f) Temperature dependences of total specific heat under several magnetic fields for (e) Zr4Pd2O and (f) Zr4Rh2O. The solid lines are fit to C(T)/T = γ + βT2 + δT4. (g,h) Temperature dependences of electronic specific heat zero field for (g) Zr4Pd2O and (h) Zr4Rh2O. The solid lines are used to estimate Tc and dashed lines represent γ value.