Figure 4
From: Observation of superconductivity and enhanced upper critical field of η-carbide-type oxide Zr4Pd2O

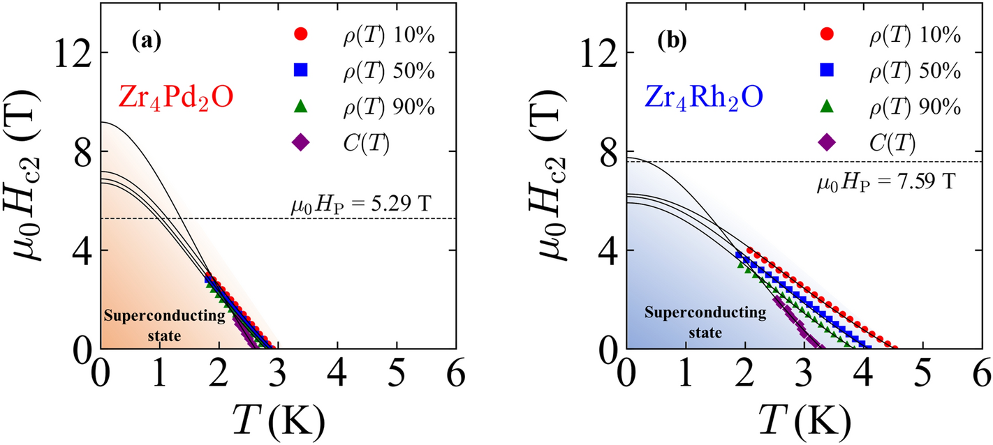
(a,b) Temperature dependence of upper critical field for (a) Zr4Pd2O and (b) Zr4Rh2O. The solid lines are fit to the GL model. The value of μ0HP was calculated using μ0HP = 1.86Tc with ρ(T) 50% criteria data.