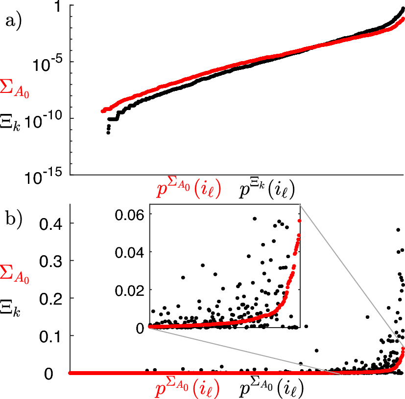
Figure 12
From: Bridging functional and anatomical neural connectivity through cluster synchronization

(a) Entries of the matrices \(\Sigma _{A_0}\) (red dots) and \(\Xi _k\) (black dots), for level \(\ell ^*_{21}\). entries of both \(\Sigma _{A_0}\) and \(\Xi _k\) are displayed from the smallest to the largest and are plotted on a semi-logarithmic scale, with their linear indices \(i_{\ell }\) ordered according to permutations \(p^{\Sigma _{A_0}}\) and \(p^{\Xi _k}\), respectively. (b) Entries of the matrices \(\Sigma _{A_0}\) (red dots) and \(\Xi _k\) (black dots), for level \(\ell ^*_{21}\). entries of \(\Sigma _{A_0}\) are displayed on a linear scale from the smallest to the largest, with their linear indices \(i_{\ell }\) ordered according to permutation \(p^{\Sigma _{A_0}}\); entries of \(\Xi _k\) are displayed following the same permutation.