Figure 1
From: Characterization of a novel RNAi yeast insecticide that silences mosquito 5-HT1 receptor genes

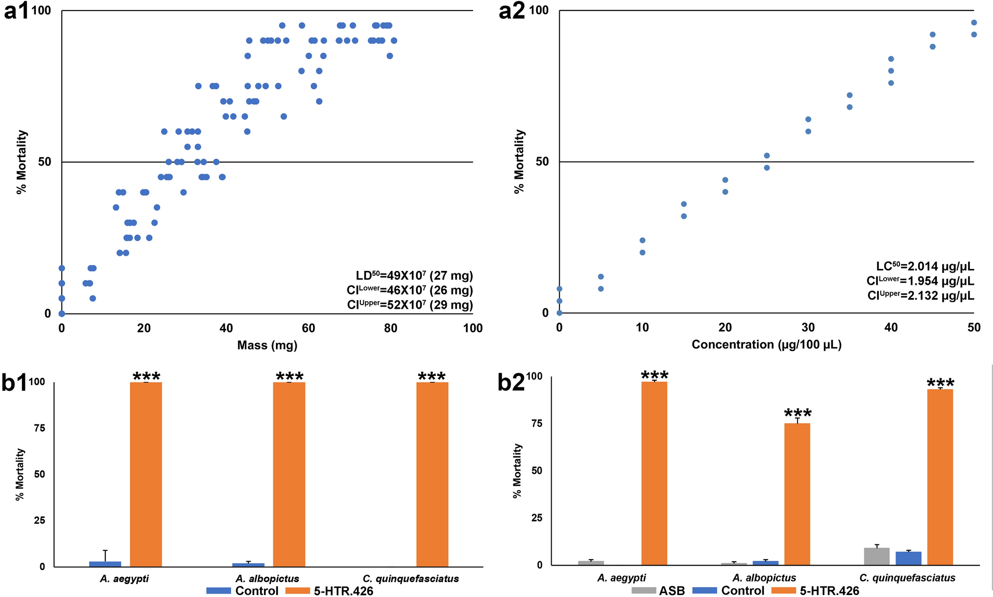
5-HTR.426 shRNA-expressing yeast induces mortality under laboratory and semi-field conditions. (a1) In laboratory experiments, yeast expressing 5-HTR.426 shRNA induced dose-dependent mortality in the A. aegypti LVP-IB12 laboratory strain. The LD50 (for treatment of 20 larvae) was 27 mg. (b1) When the same yeast was applied to mosquito strains collected from the field and tested in semi-field conditions in Trinidad, it eliminated all the larvae in the experiment (orange bars). (a2) In laboratory trials, 5-HTR.426 yeast induced dose-dependent mortality in A. aegypti LVP-IB12 adult females (LC50 = 2.014 ug/ul). (b2) In outdoor semi-field trials conducted in Trinidad, 5-HTR.426 yeast also induced significant mortality in field strains of Aedes and Culex mosquitoes. The data in (b1) and (b2) are presented as mean percentage mortality, with error bars representing standard error of the mean. *** indicates a statistically significant difference from the control group (P < 0.001). ASB, attractive sugar bait alone; control refers to treatments with control RNAi yeast.