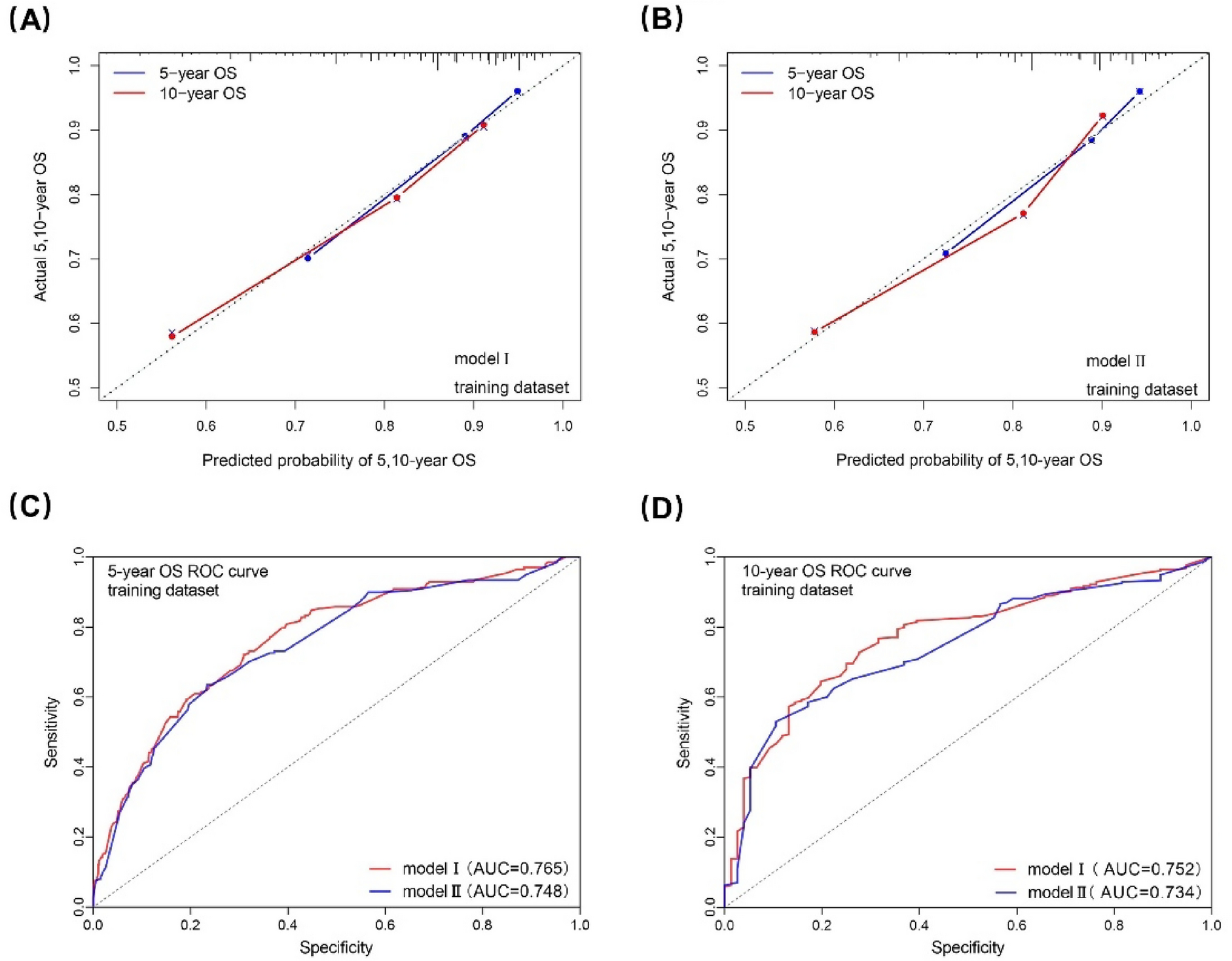
Figure 6
From: Prognostic value of normal levels of preoperative tumor markers in colorectal cancer

Calibration curves and ROC curves to model I/II for 5-, and 10-year OS in the training dataset. ROC, receiver operating characteristic; OS, overall survival; AUC, area under curve.