Figure 2
From: The impact of high-speed rail on SO2 emissions—based on spatial difference-in-differences analysis

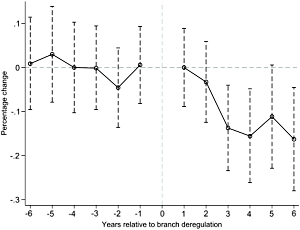
Multi-period DID dynamic effect test chart.
From: The impact of high-speed rail on SO2 emissions—based on spatial difference-in-differences analysis

Multi-period DID dynamic effect test chart.