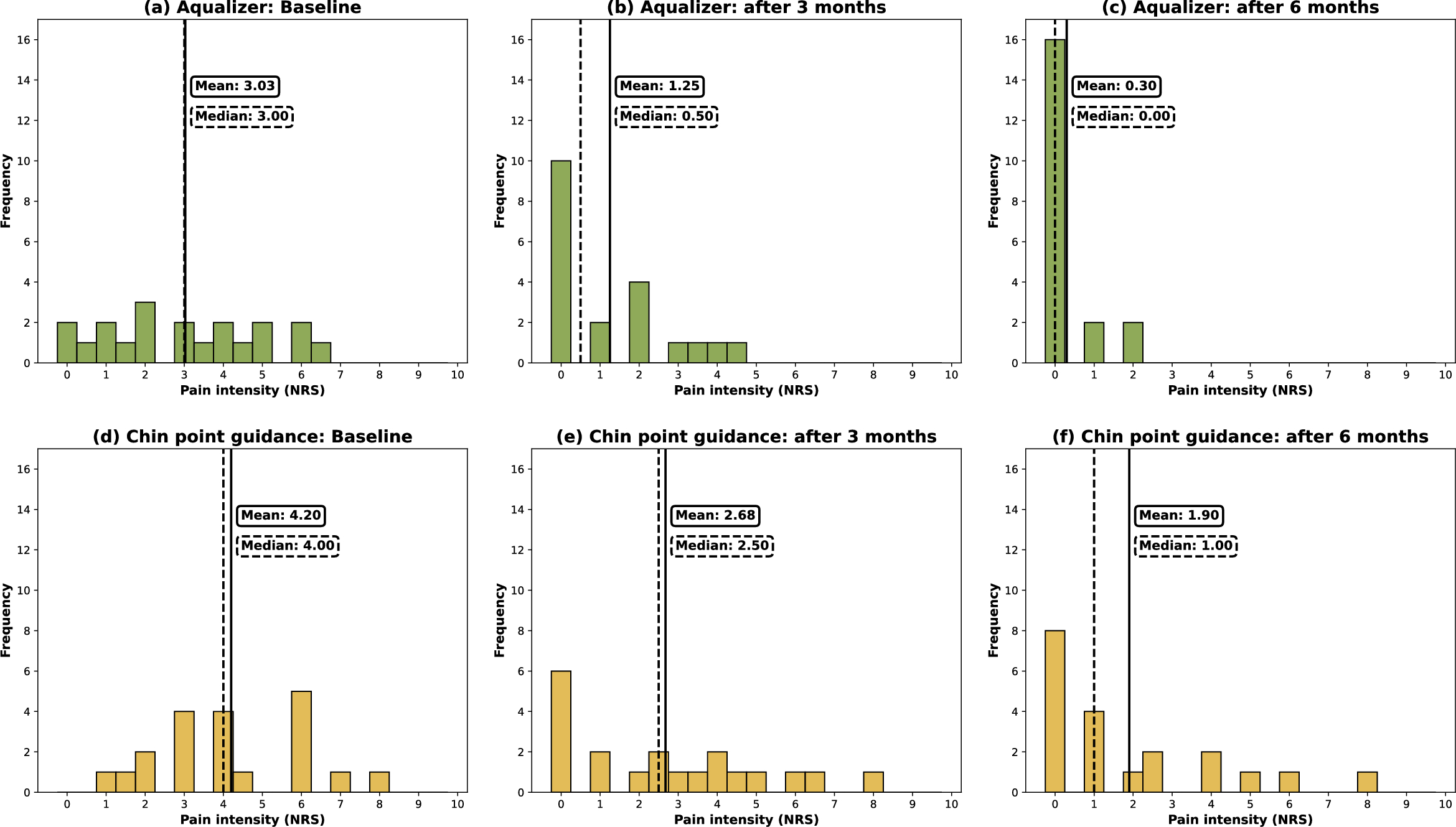
Figure 4

Histograms showing the frequency of pain intensity scores 1–10 at baseline and after 3 and 6 months of occlusal splint therapy following MMR registration with the Aqualizer system (a–c) or chin point guidance (d–f). Vertical lines represent mean (solid line) and median (dashed line) pain intensity.