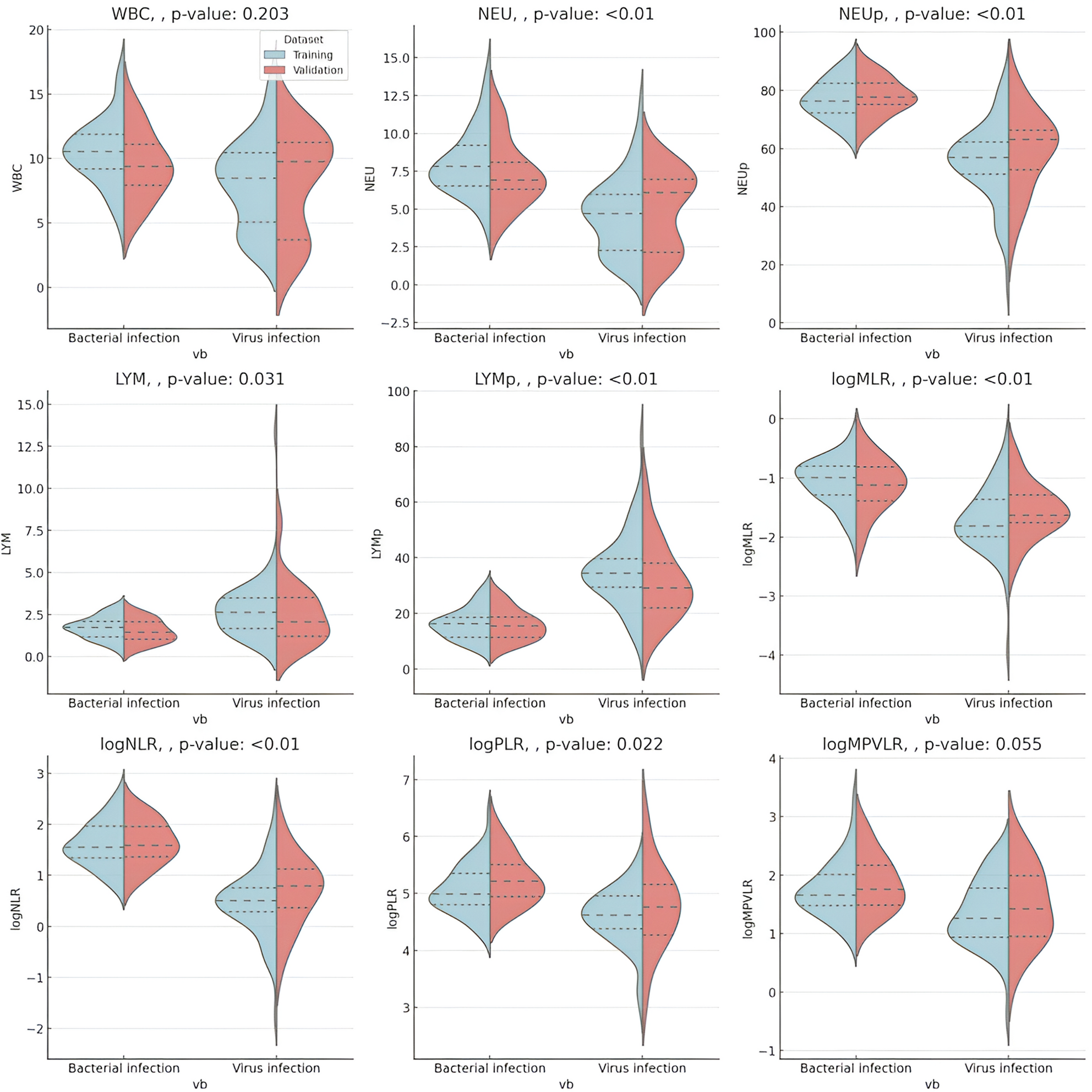
Figure 2

Distribution of Hematological and Inflammatory Parameters Amid Bacterial and Viral Infections. The violin plots showcase the distribution of several hematological and inflammatory parameters including 'WBC' (white blood cell count), 'NEU' (neutrophils), 'NEUp' (neutrophil percentage), 'MONO' (monocytes), 'LYM' (lymphocytes), 'LYMp' (lymphocyte percentage), 'logMLR' (log-transformed monocyte-to-lymphocyte ratio), 'logNLR' (log-transformed neutrophil-to-lymphocyte ratio), and 'logPLR' (log-transformed platelet-to-lymphocyte ratio) in cases of bacterial and viral infections. Each violin depicts the density distribution of the data, with the width indicating data density. The white dot represents the median, the thick bar illustrates the interquartile range, and the thin line encompasses the remaining data distribution, excluding outliers determined by a function of the interquartile range. These plots elucidate distinct trends between the two infection types.