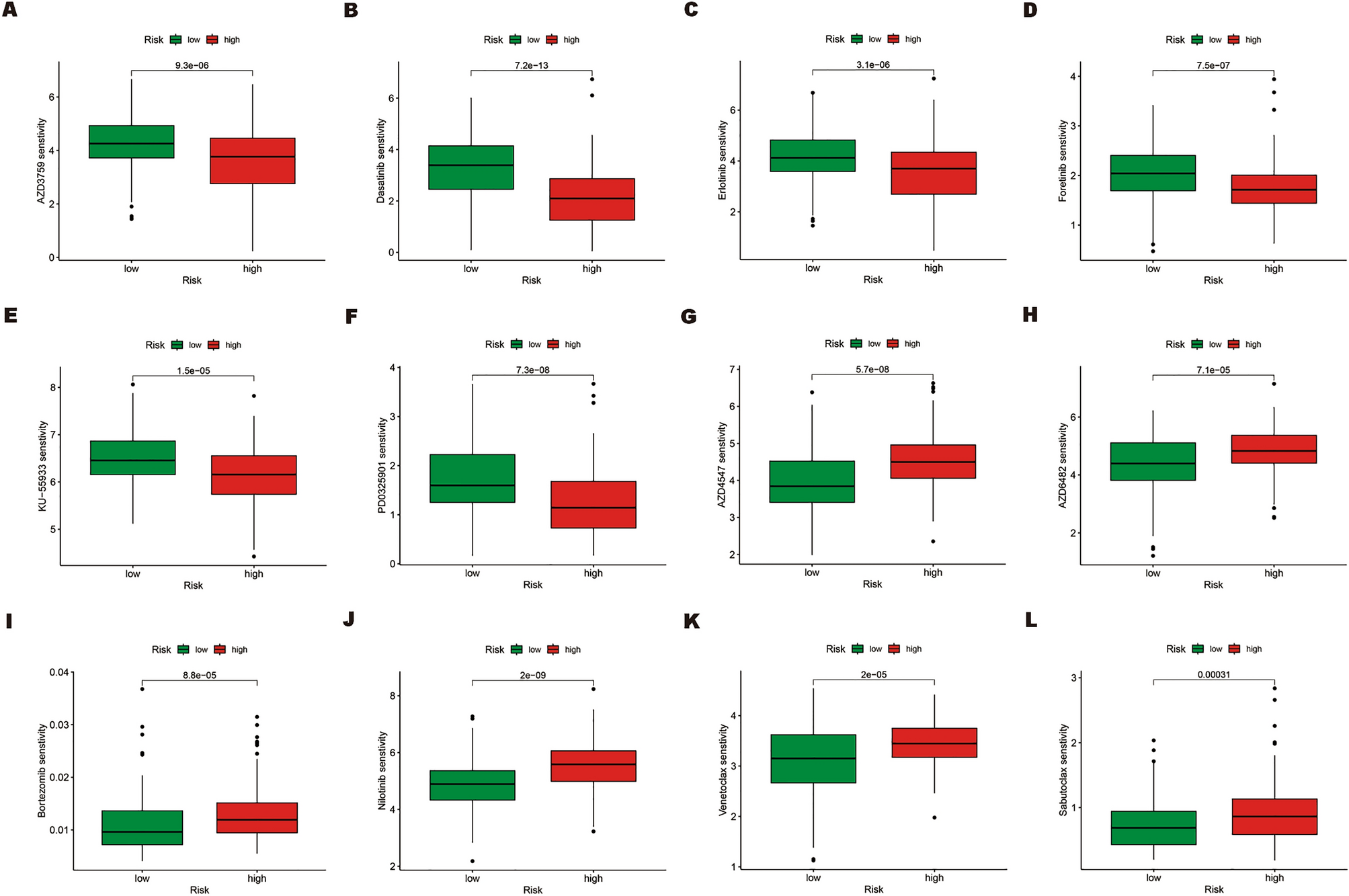
Figure 9

Comparison of the IC50 of different drugs in the high-risk poor prognosis and low-risk good prognosis groups. (A–L) The IC50 of AZD3759, Dasatinib, Erlotinib, Foretinib, KU-55933, PD0325901, AZD4547, AZD6482, Bortezomib, Nilotinib, Vorinostat, and Sabutoclax in the high-risk poor prognosis and low-risk good prognosis groups. IC50, the half-maximal inhibitory concentration. *, p < 0.05; **, p < 0.01; ***, p < 0.001.