Figure 15

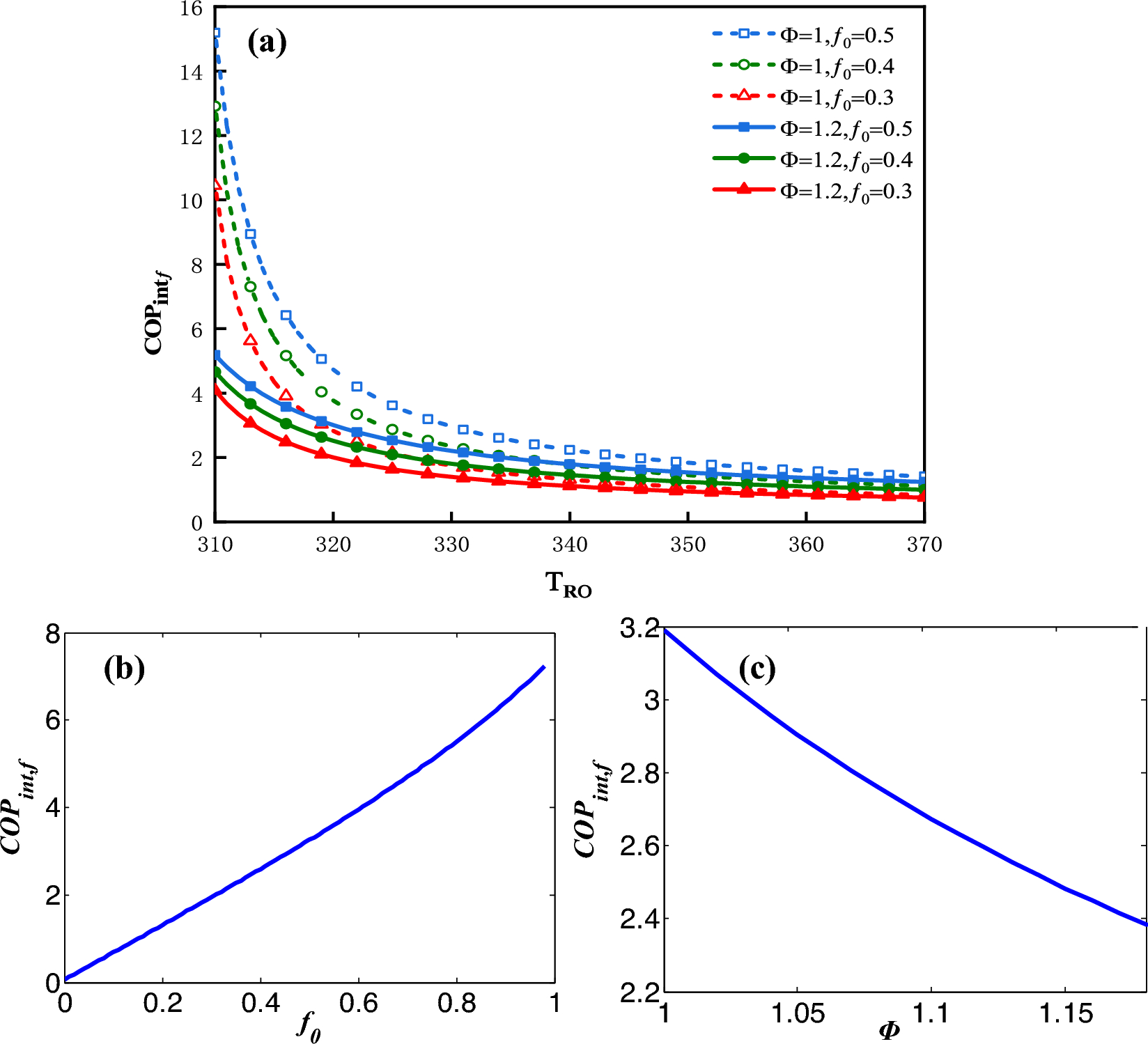
(a) \(COP_{{{\text{int}} f}}\) vs. \(T_{Ro}\) for three values of \(f_{0}\) and two values of \(\Phi\), (b) \(COP_{{{\text{int}} f}}\) vs. \(f_{0}\), (c) \(COP_{{{\text{int}} f}}\) vs. \(\Phi\).

(a) \(COP_{{{\text{int}} f}}\) vs. \(T_{Ro}\) for three values of \(f_{0}\) and two values of \(\Phi\), (b) \(COP_{{{\text{int}} f}}\) vs. \(f_{0}\), (c) \(COP_{{{\text{int}} f}}\) vs. \(\Phi\).