Figure 4

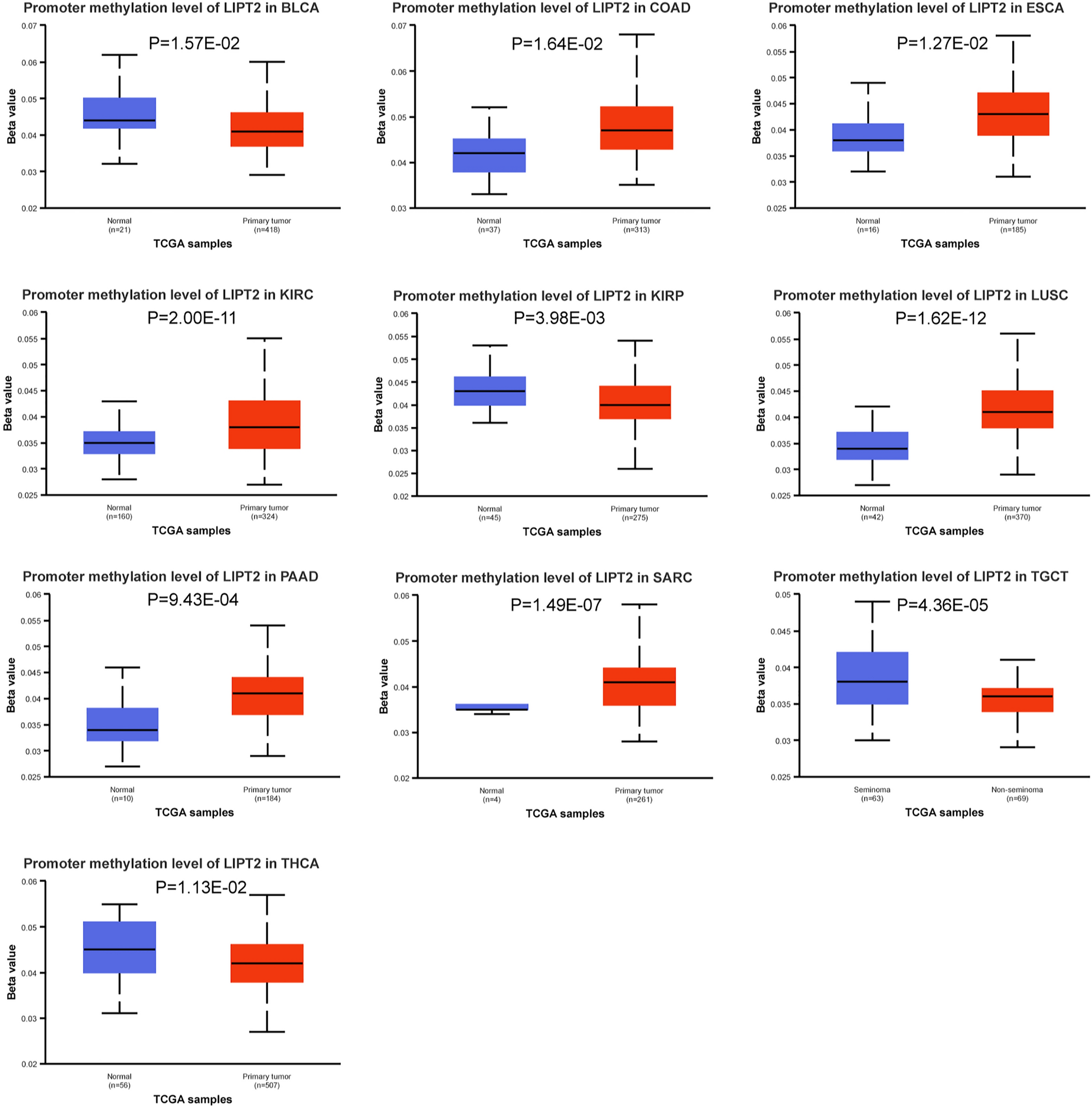
Comparison of the promoter methylation levels of LIPT2 between cancerous tissues and normal tissues using UALCAN, indicating significant differences in cancer (p < 0.05).

Comparison of the promoter methylation levels of LIPT2 between cancerous tissues and normal tissues using UALCAN, indicating significant differences in cancer (p < 0.05).