Figure 3

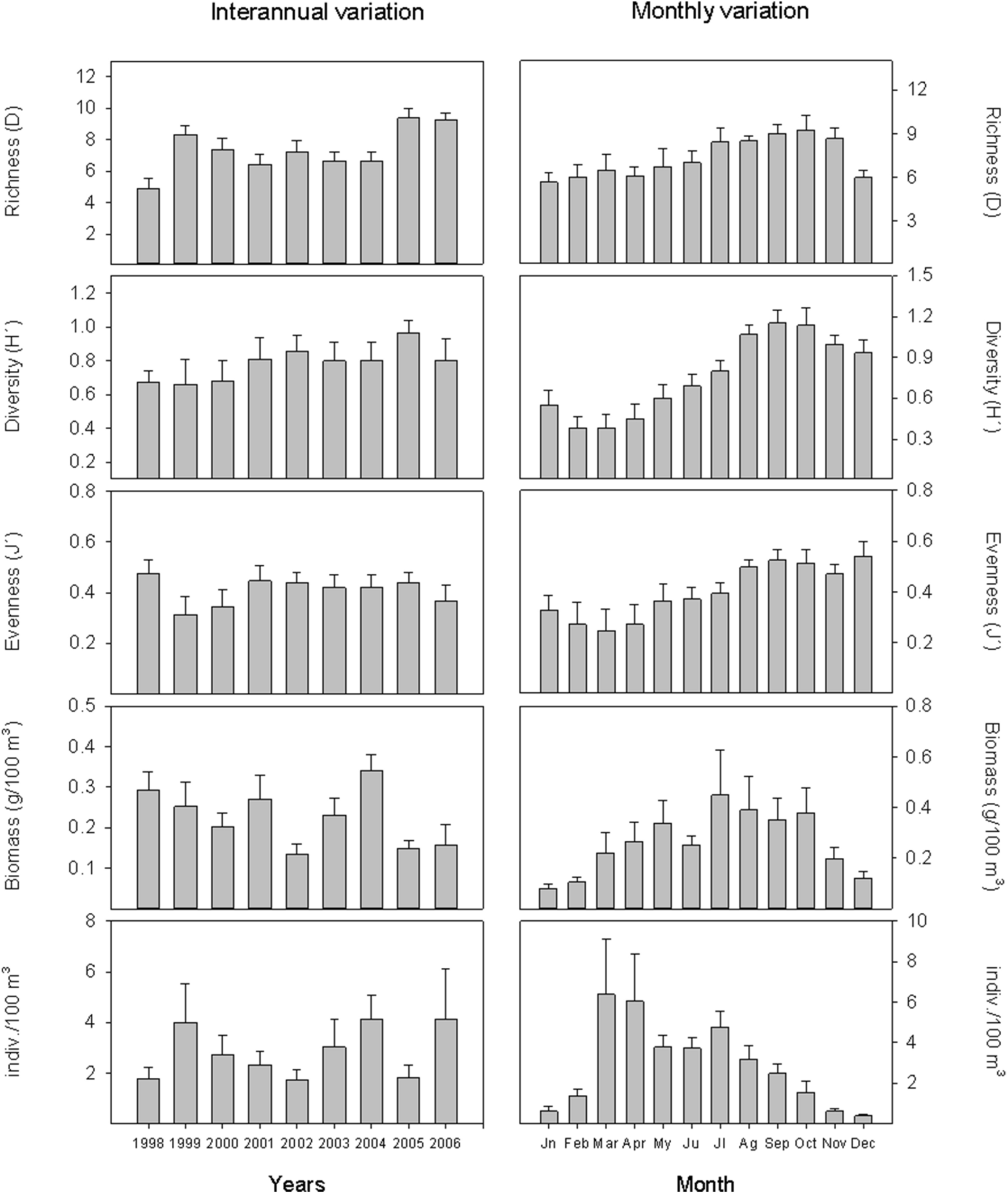
Interannual and monthly variations of specific richness, diversity (Hʹ), evenness (Jʹ), biomass and mean abundance of the decapod crustacean community in the Guadalquivir estuary between June 1997 and December 2006.

Interannual and monthly variations of specific richness, diversity (Hʹ), evenness (Jʹ), biomass and mean abundance of the decapod crustacean community in the Guadalquivir estuary between June 1997 and December 2006.