Figure 1
From: Effects of plant-based proteins and handling stress on intestinal mucus microbiota in rainbow trout

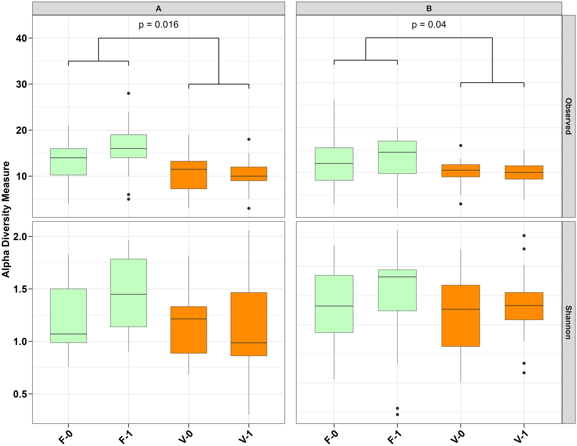
Alpha diversity indices in relation to the treatment group. Alpha diversity indices, including Observed ASVs (upper panels) and Shannon diversity index (lower panels) for intestinal mucosal tissue of trout genetic lines A (left panels) and B (right panels). Boxes are colored according to the experimental diet (F: fish meal diet, light green; V: plant-based diet, orange). Stressed group (1) and unstressed group (0). n = 3.