Figure 6
From: A nomogram model for predicting 5-year risk of prediabetes in Chinese adults

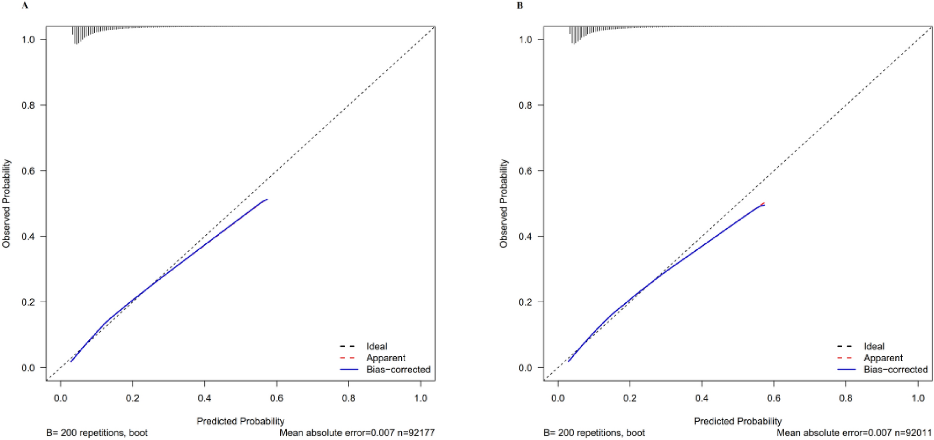
Calibration curves. It was found that the calibration curves for the 5-year probability of incident prediabetes demonstrated excellent agreement between the predicted probability and the actual observation in both training and validation sets (A, B). According to these results, the nomogram accurately predicted 5-year incidences of prediabetes in Chinese adults.