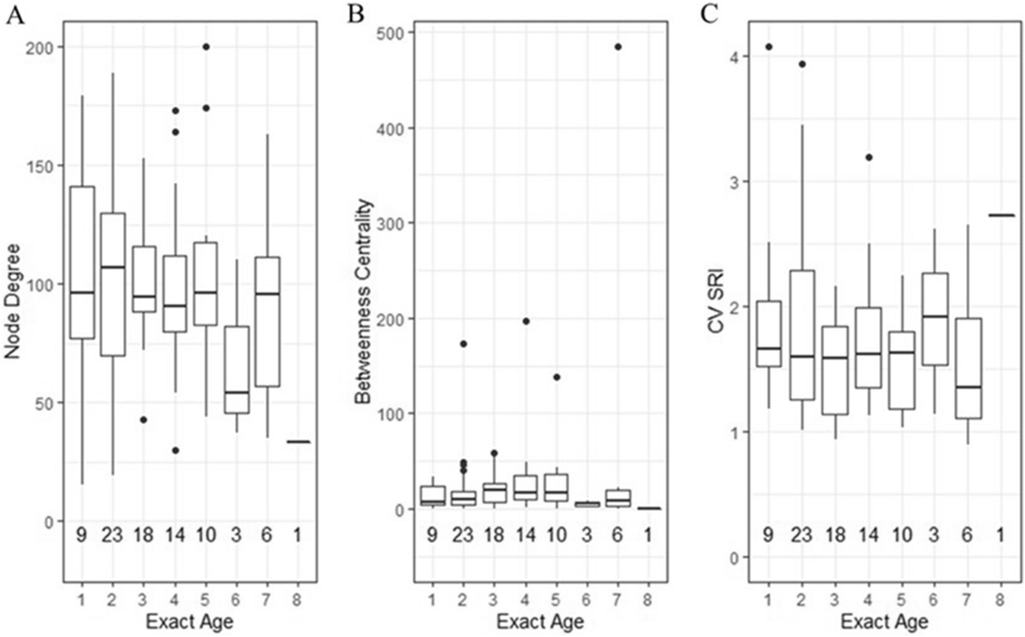
Figure 4
From: Co-roosting relationships are consistent across years in a bat maternity group

Distribution of network metrics for female little brown myotis in Salmonier Nature Park, Newfoundland, Canada in networks of bats containing at least ten observations at a day roost prior to parturition in a year. Panels show the different individual network metrics of (A) node degree, (B) betweenness centrality and (C) the coefficient of variation of the simple ratio index (CV SRI) at different known ages. Networks were constructed to include individuals of known- and unknown-age, but metrics were only calculated for known-aged individuals. Individuals were assigned an age of 0 in the year they were captured as a juvenile, and thus an exact age of 1 corresponds to the summer a year after birth. The number of known aged individuals for which the metrics could be calculated in each age category are shown along the bottom of each plot.