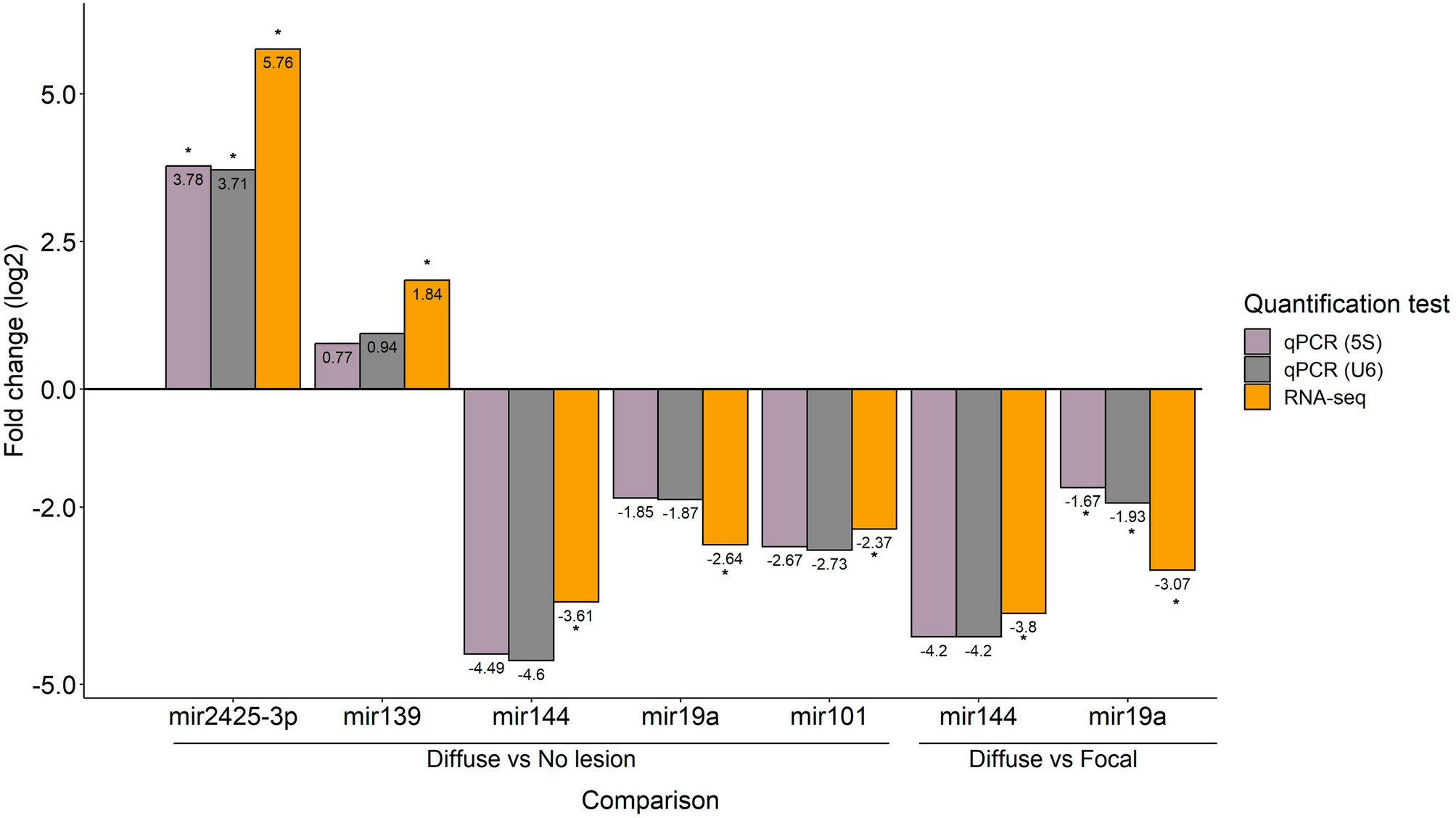
Figure 3

Validation of the differentially expressed miRNAs in PB samples by RT-qPCR. Validation of the differences in expression of five miRNAs (bta-miR-101-3p, bta-miR-19a-3p, bta-miR-139, bta-miR-144, bta-miR-2425-3p) was performed by RT-qPCR. Changes in the expression levels (expressed as the log2 of the fold change) of the selected differentially expressed miRNAs in the comparisons diffuse vs controls and with diffuse vs focal lesions was calculated using RNA-Seq (in yellow) and RT-qPCR. RT-qPCR results using the U6 snRNA or 5S rRNA as endogenous genes are presented in grey and purple, respectively. Significant changes in the miRNA expression (p-value ≤ 0.05) for each comparison are indicated with an asterisk.