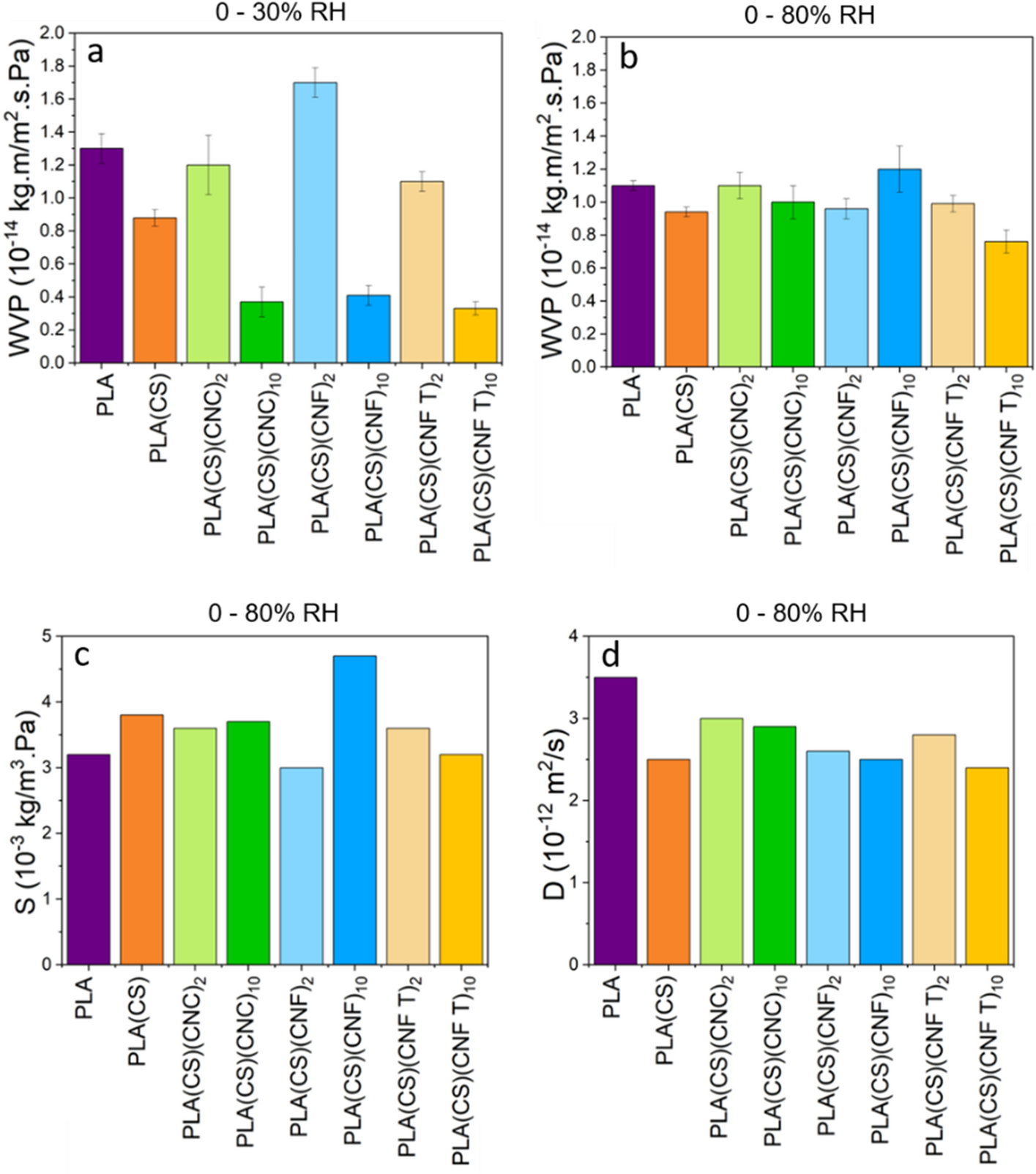
Figure 3

Transport coefficients of PLA, PLA(CS) and coated-PLA films calculated from cup and DVS methods. (a) WVP (water vapor permeability) at 0–30% RH calculated with cup methods. (b) WVP at 0–80% RH calculated with cup methods. (c) Solubility at 0–80% RH calculated with cup and DVS methods. (d) Diffusion at 0–80% RH calculated with cup methods.