Figure 8

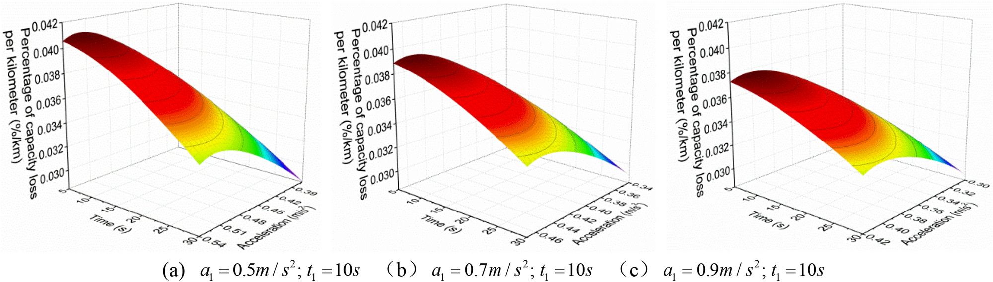
The \(q_{{{\text{loss}}}}^{{{\text{III}}}}\) change under urban condition (0–80 km/h) with three acceleration values.

The \(q_{{{\text{loss}}}}^{{{\text{III}}}}\) change under urban condition (0–80 km/h) with three acceleration values.