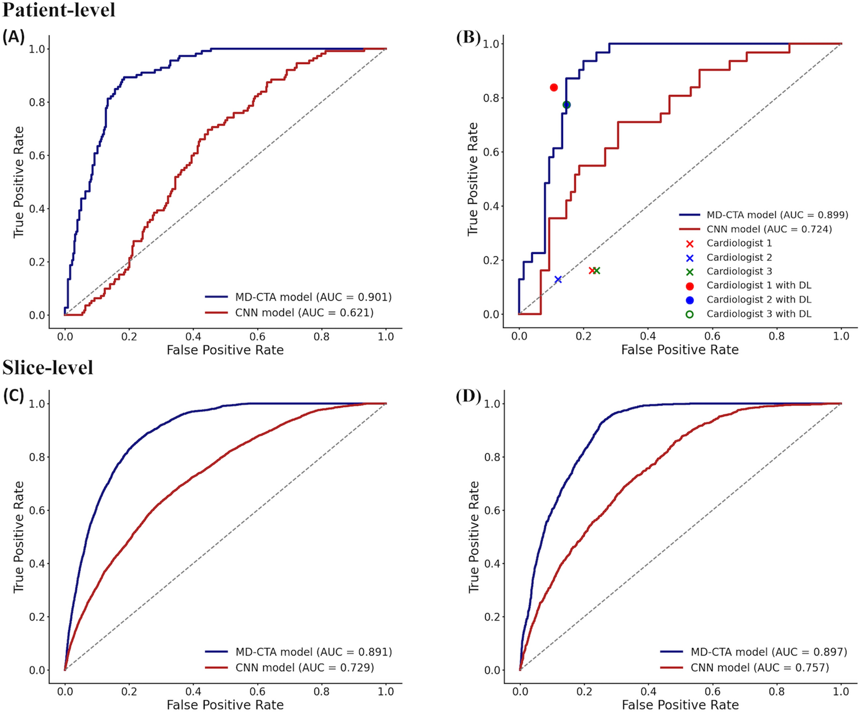
Figure 1
From: A novel deep learning model for a computed tomography diagnosis of coronary plaque erosion

Diagnostic accuracy of the deep learning (DL) models for patient-level (A,B) and slice-level (C,D) predictions. Diagnostic performance of the deep learning models at the patient level in the five-fold cross-validation (A), in the test set validation (B), and at the slice level in the five-fold cross-validation (C), in the test set validation (D). AUC area under the curve, CNN convolutional neural network, MD-CTA momentum distillation-enhanced composite transformer attention.