Figure 2
From: Biologically informed deep learning for explainable epigenetic clocks

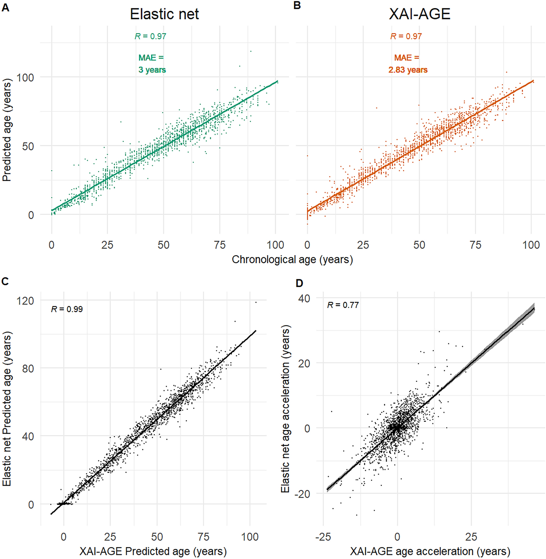
Predicted age as a function of the chronological age. We show the scatter plot of the age estimated based on the methylation data according to elastic net regression (A) and according to XAI-AGE (B). The predicted age and the age acceleration (defined by subtracting the chronological age from the predicted age) for the elastic net as a function of the same quantity according to the XAI-AGE model is also shown in (C,D). The Pearson correlation coefficients and the median absolute errors are indicated beside the plots, the number of samples were \(n = 1619\).