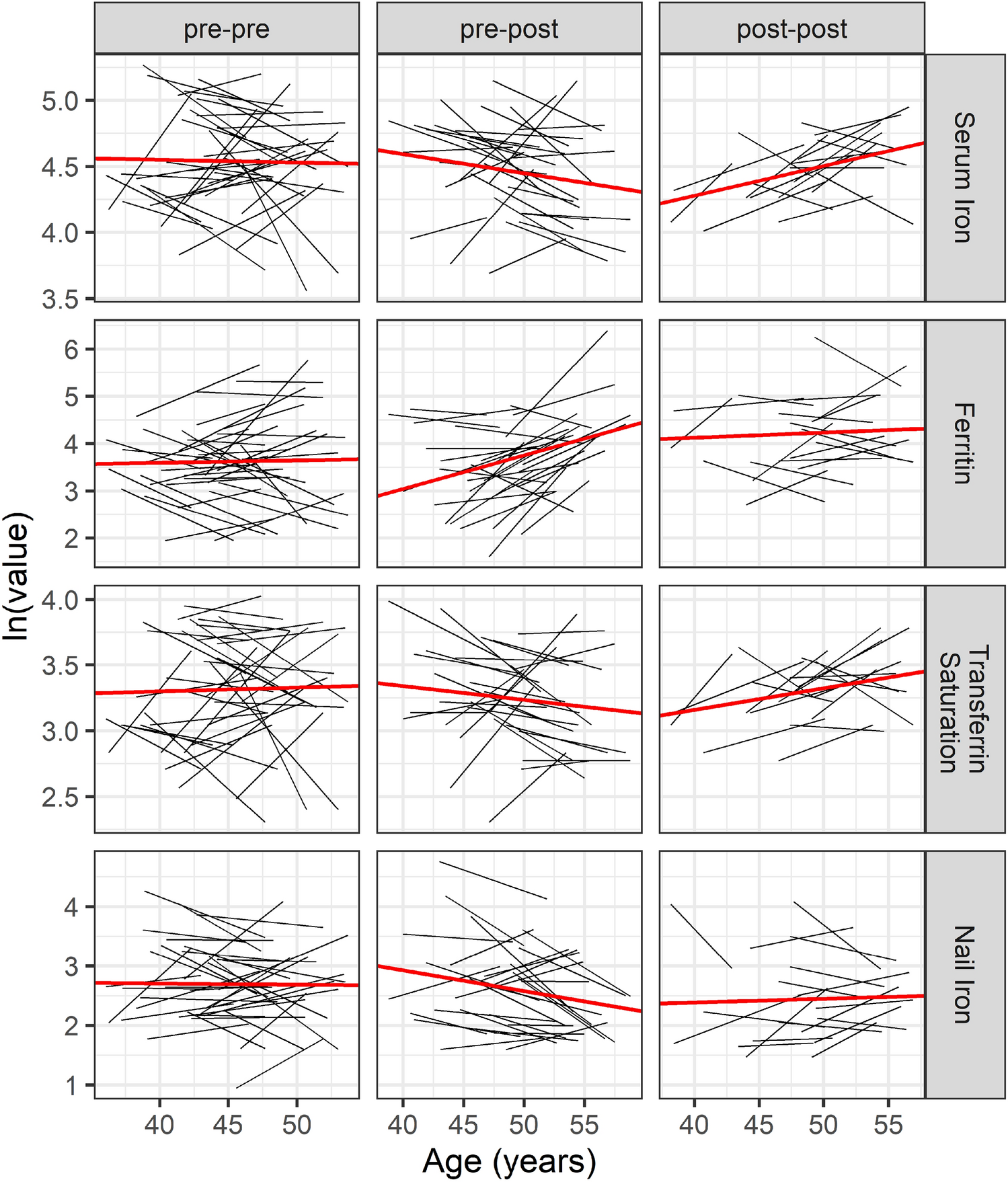
Figure 3

Nail and serum values (natural log transformed) over age-time by type of iron measure, menopause status combinations at baseline/follow-up, and case status. The solid red line indicates the fitted line from the mixed effects regression model, and each solid black line represents an individual.