Figure 3

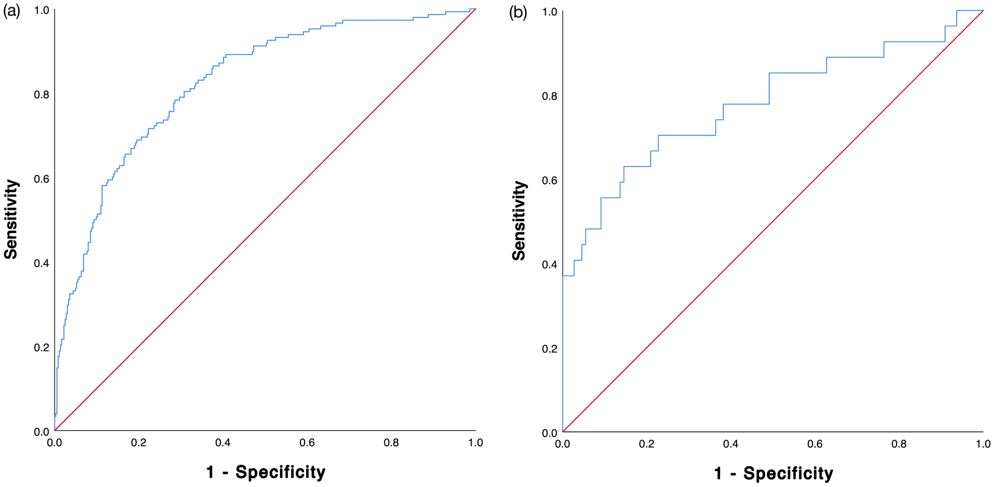
IMPACT in-hospital mortality scoring system area under the receiver—operating characteristic (AUROC) curve: (a) Derivation cohort, (b) validation cohort.

IMPACT in-hospital mortality scoring system area under the receiver—operating characteristic (AUROC) curve: (a) Derivation cohort, (b) validation cohort.