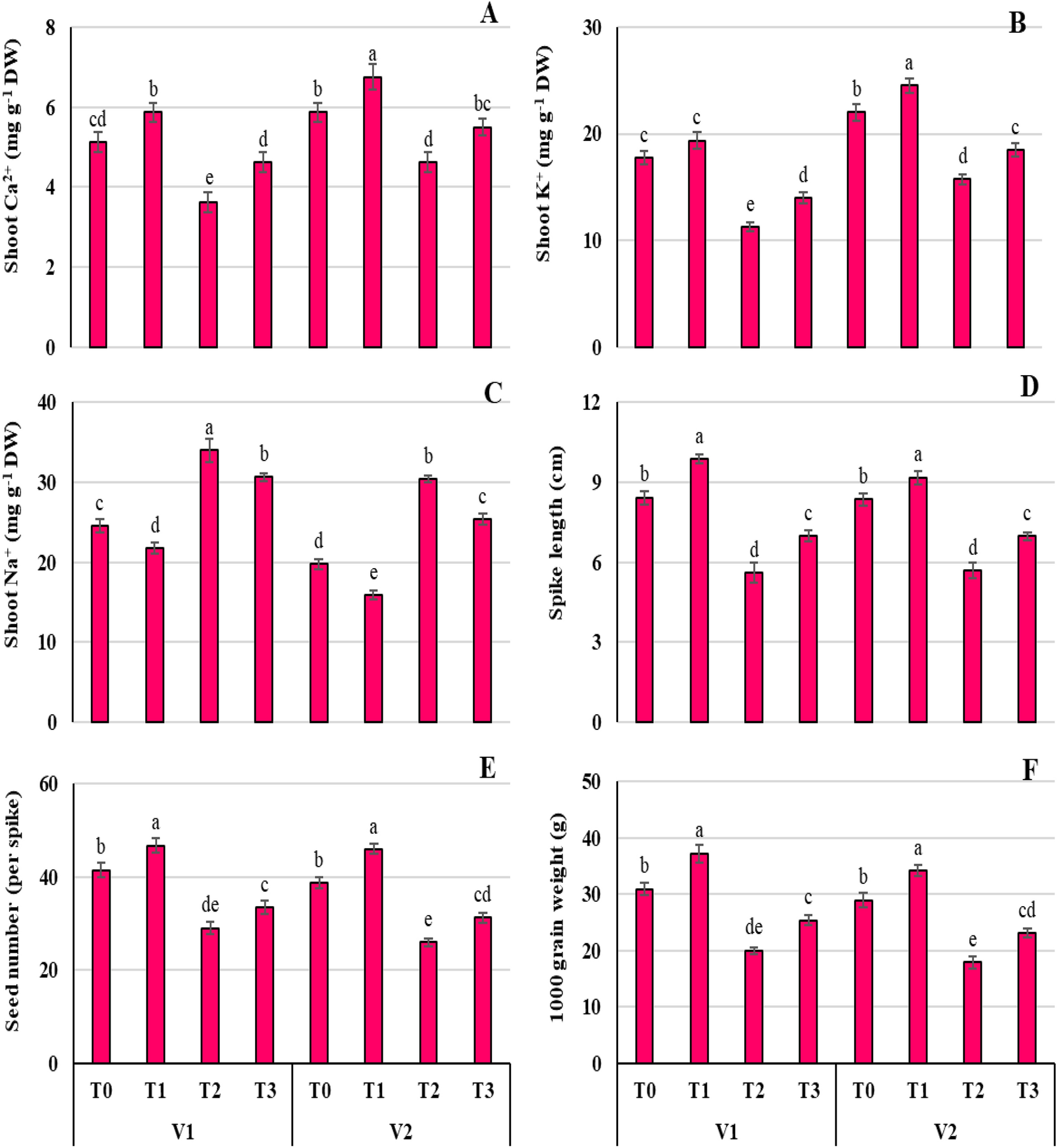
Figure 6

Effect of Ni (100 mg/kg) stress with and without foliar application of Pro (10 mM) on shoot potassium ions (A), shoot calcium ions (B), shoot sodium ions (C), spike length (D), seed number per spike (E), and 1000 grain weight (F) in two varieties (V1 = Punjab-11, V2 = Ghazni-11) of Triticum aestivum L. seedlings.