Figure 5
From: The effect of distant connections on node anonymity in complex networks

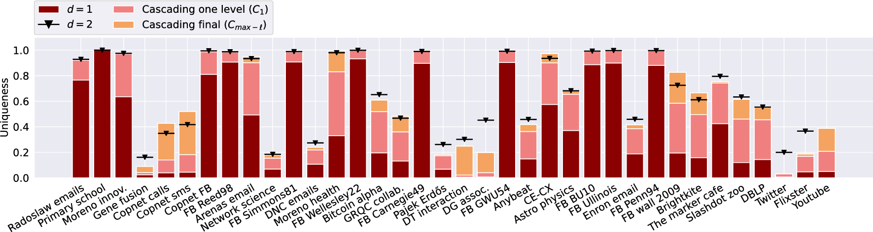
Uniqueness in real-world networks. Fraction of unique nodes (vertical axis) on different datasets (horizontal axis) when accounting for different levels of information: 1-neighborhood (red), 2-neighborhood (black line with triangle), cascading one level (pink) and the cascading final (yellow).