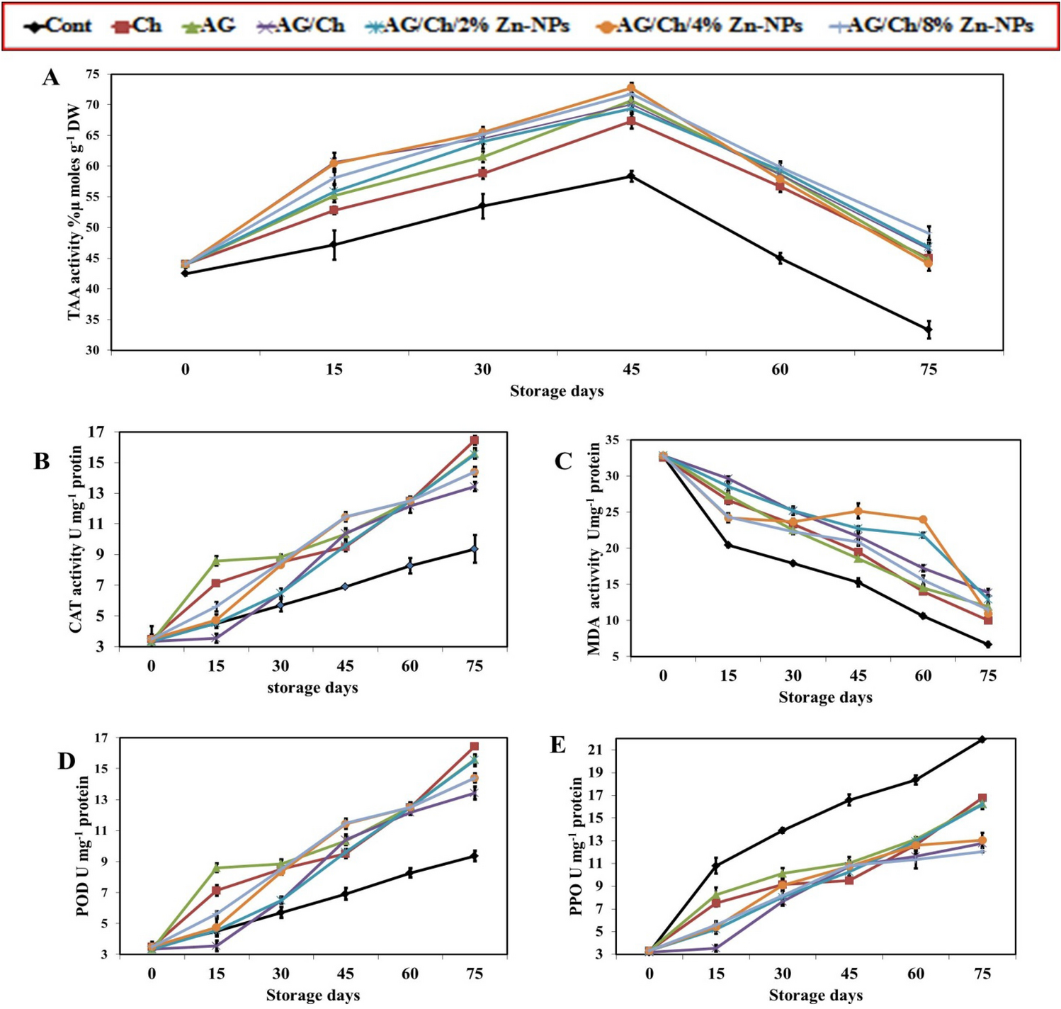
Figure 6

Effect of chitosan (Ch), Arabic gum (AG), AG/Ch, and AG/Ch enriched with 2, 4, 8% Zn–NPs on fruit Total antioxidant capacity TAC (A), catalase activity (CAT) (B), malondealdehyde (MDA) (C), peroxidase activity (POD (D), and polyphenoloxidase (PPO) (E) of Hass avocado fruit during cold storage (7C). Data were presented as means (n = 3 ± SE).