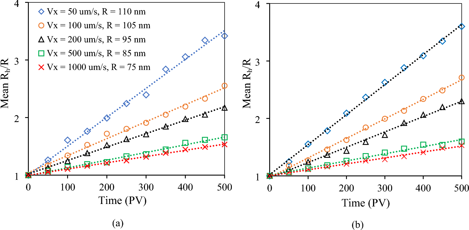
Figure 3

The relationship between the ratio of the mean hydrodynamic radius of NPs to the primary particle radius and time at different pore velocities and particle sizes when CeO2 NPs with a concentration of 10 mg/L flowed through (a) the mono-disperse sphere packing and (b) the bi-disperse sphere packing.