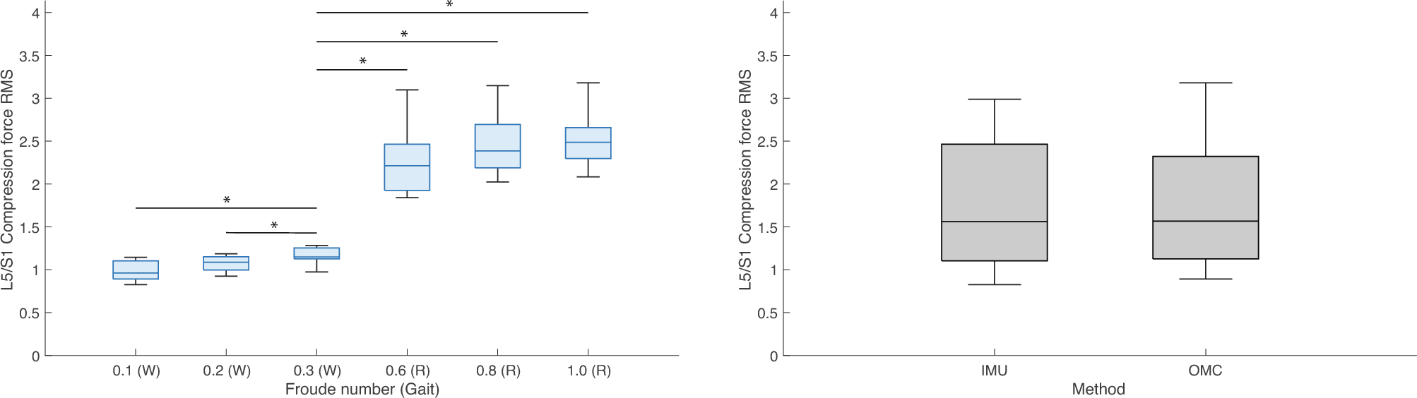
Figure 11

Boxplots of lumbosacral (L5/S1) joint root mean squares (RMS) of compression forces (normalized to body weight) by condition (left) and method (right). W = Walk; R = Run. * indicates P value < 0.00 \(\overline{3 }\). All R conditions significantly different from 0.3 (W) are also different from 0.1 (W) and 0.2 (W). IMU = inertial measurement units; OMC = optical motion capture.