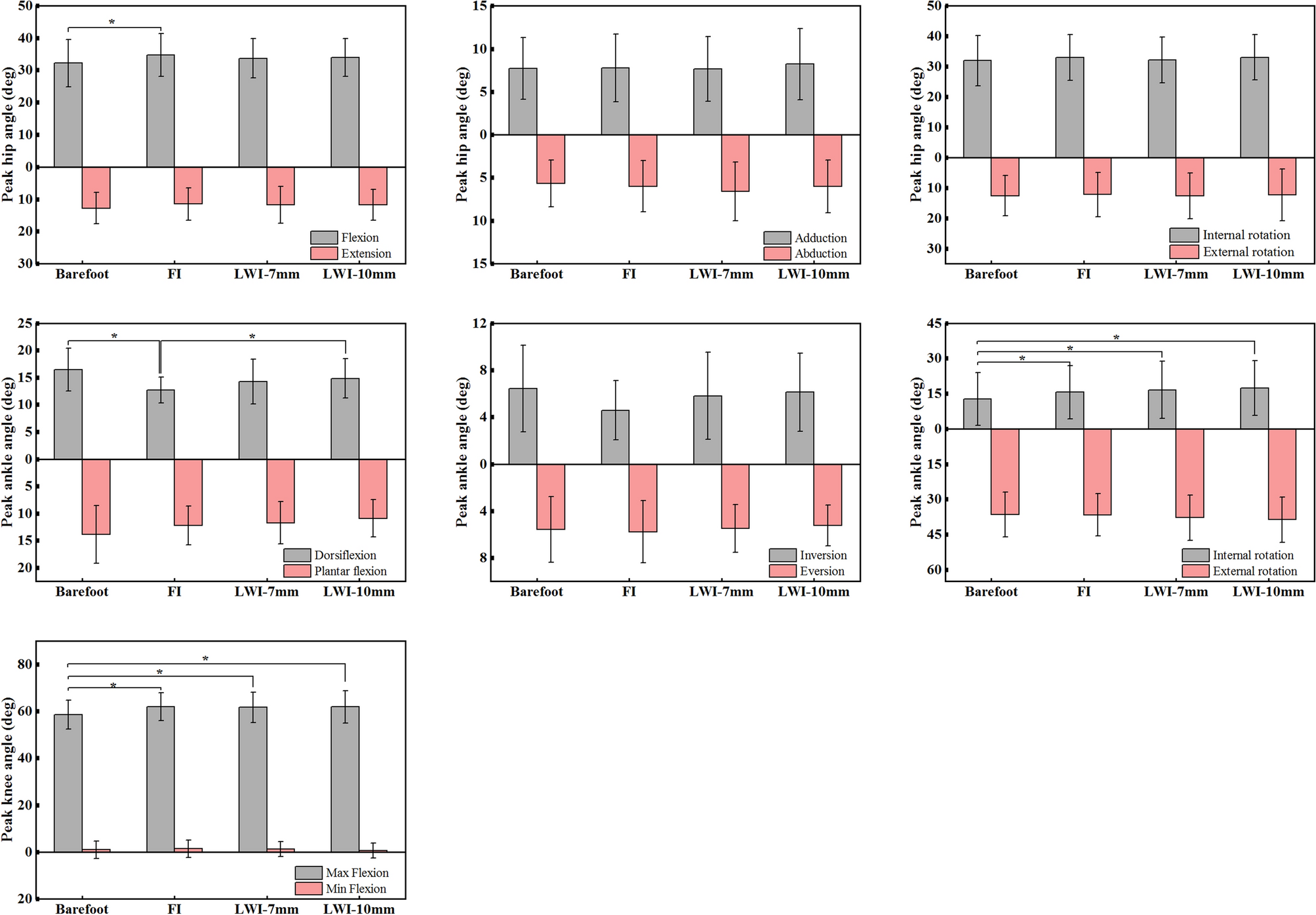
Figure 2
From: Biomechanical response of lower limb joints to lateral wedge insoles

The peak values (mean ± SD) of the angles of hip, knee, and ankle joints of all participants in three planes under all conditions (barefoot and wearing shoes with insoles). *p < 0.05.