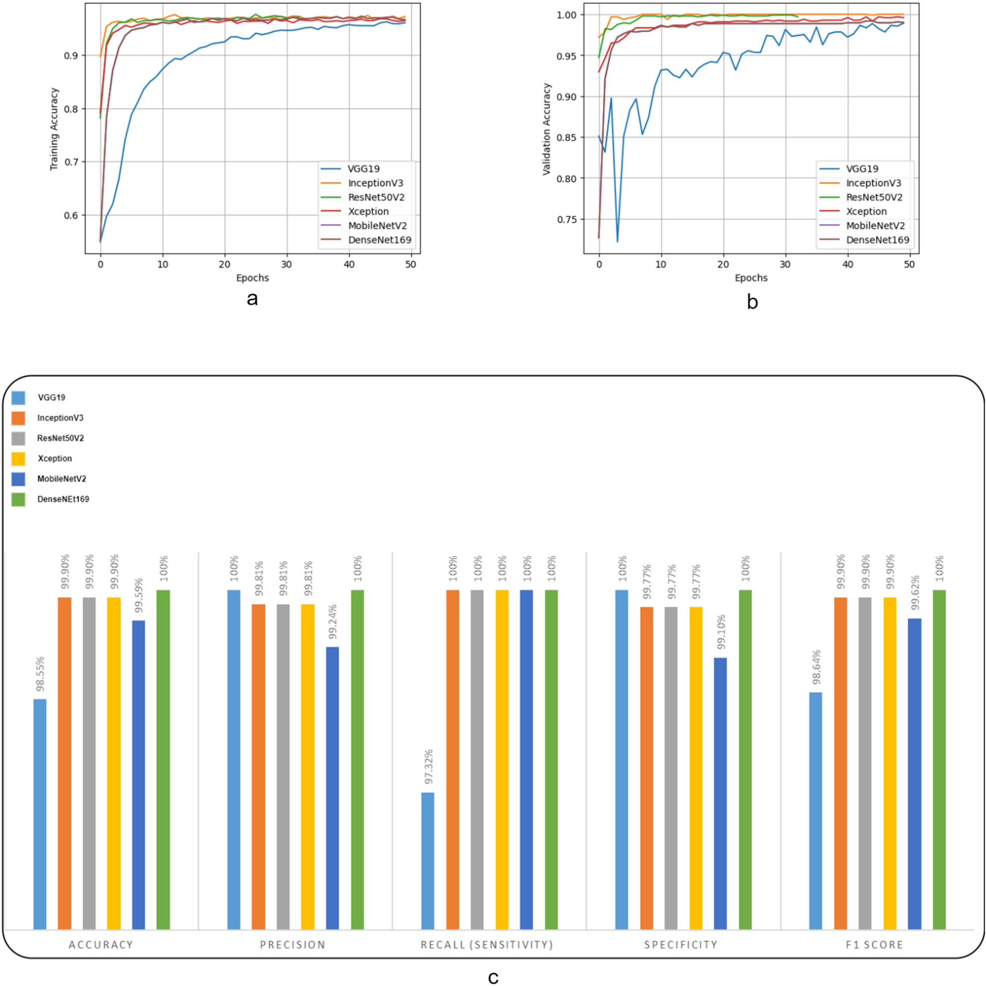
Figure 5
From: Potential diagnostic application of a novel deep learning- based approach for COVID-19

The accuaracy of various slide-level models during the training process on both the training set (a) and validation set (b). The performance of various slide-level models across different evaluation metrics on the test set (c).