Figure 4
From: Hexose phosphorylation for a non-enzymatic glycolysis and pentose phosphate pathway on early Earth

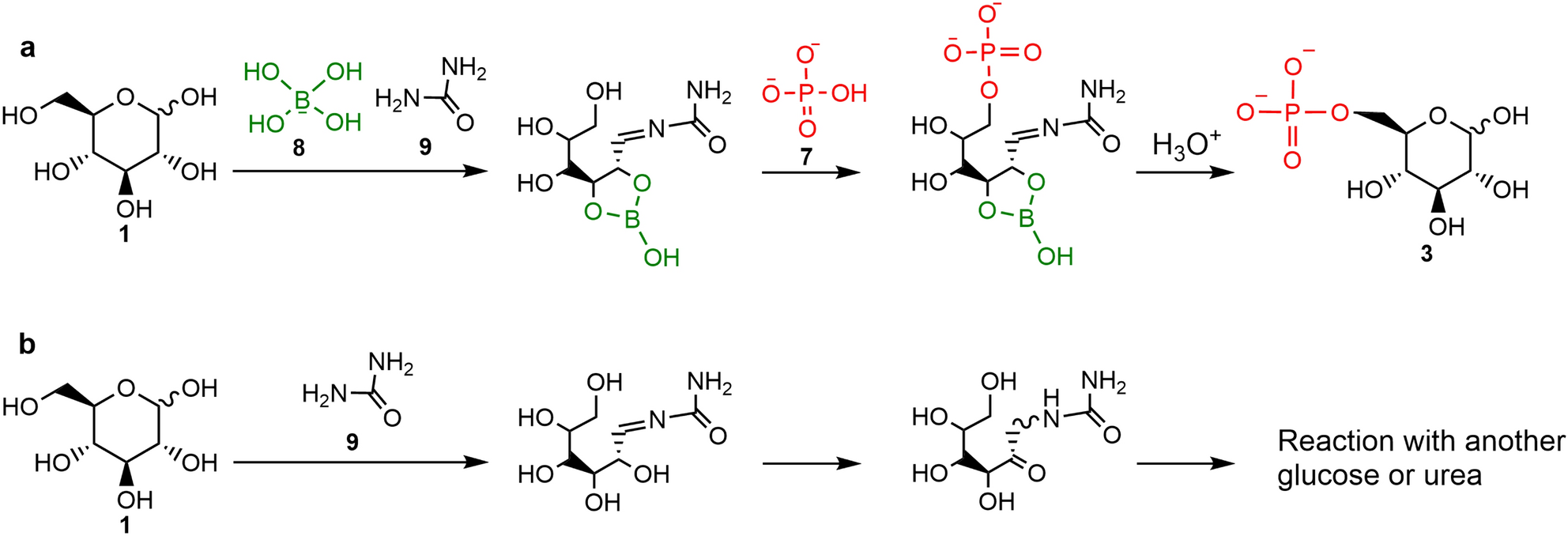
Borate-guided regioselective phosphorylation of glucose at 6-hydroxyl position. (a) Possible glucose phosphorylation pathway with borate. (b) Possible reaction pathway without borate.