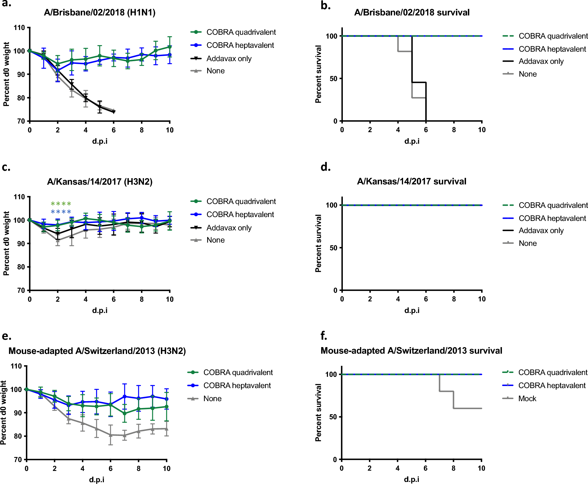
Figure 5

Protective efficacy against seasonal virus infection in vaccinated mice. Naïve DBA/2J mice (n = 11 per group) were vaccinated i.m. three times at four-week intervals with quadrivalent (green) or heptavalent (blue) formulations of COBRA recombinant HA and NA proteins, with AddaVax™ as adjuvant. Four weeks after final vaccination, mice were intranasally infected with (a, b) lethal dose of A/Brisbane/02/2018 (3 × 106 PFU), (c, d) A/Kansas/14/2017 (6 × 106 PFU), or (e, f) mouse-adapted A/Switzerland/2013 (1 × 105 PFU). The animals were observed for clinical signs and their body weight was recorded daily post infection. Statistical differences after infection with H3N2 was analyzed by multiple unpaired t-tests by GraphPad Prism 9 software (GraphPad, San Diego, CA, USA). A p value of less than 0.05 was defined as statistically significant (*, p < 0.05; **, p < 0.01; ***, p < 0.001; ****, p < 0.0001).