Figure 3

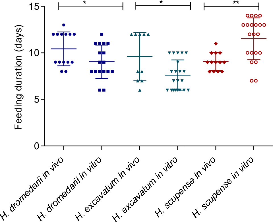
Feeding duration of engorged females Hyalomma fed in vivo and in vitro. Asterisks indicate level of significance using Mann Whitney test (P < 0.05 (*) and (P < 0.01 (**).

Feeding duration of engorged females Hyalomma fed in vivo and in vitro. Asterisks indicate level of significance using Mann Whitney test (P < 0.05 (*) and (P < 0.01 (**).