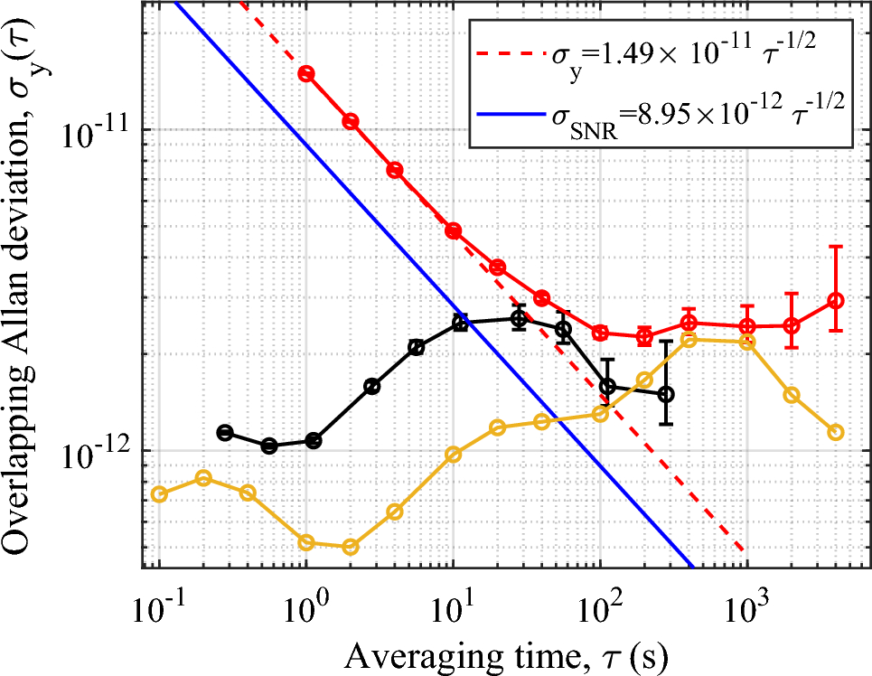
Figure 4
From: A cold-atom Ramsey clock with a low volume physics package

Red points: Overlapping Allan deviation of local oscillator’s stability when locked to atomic signal. Red dashed line: \(\tau ^{-1/2}\) dependence of the measured 1 s stability. Blue solid line: stability predicted by (1) and measured fringe SNR. Black points: stability limit due to the second-order Zeeman shift. Yellow points: measured GPSDO reference oscillator stability. Error bars represent 1\(\sigma \) confidence bound.