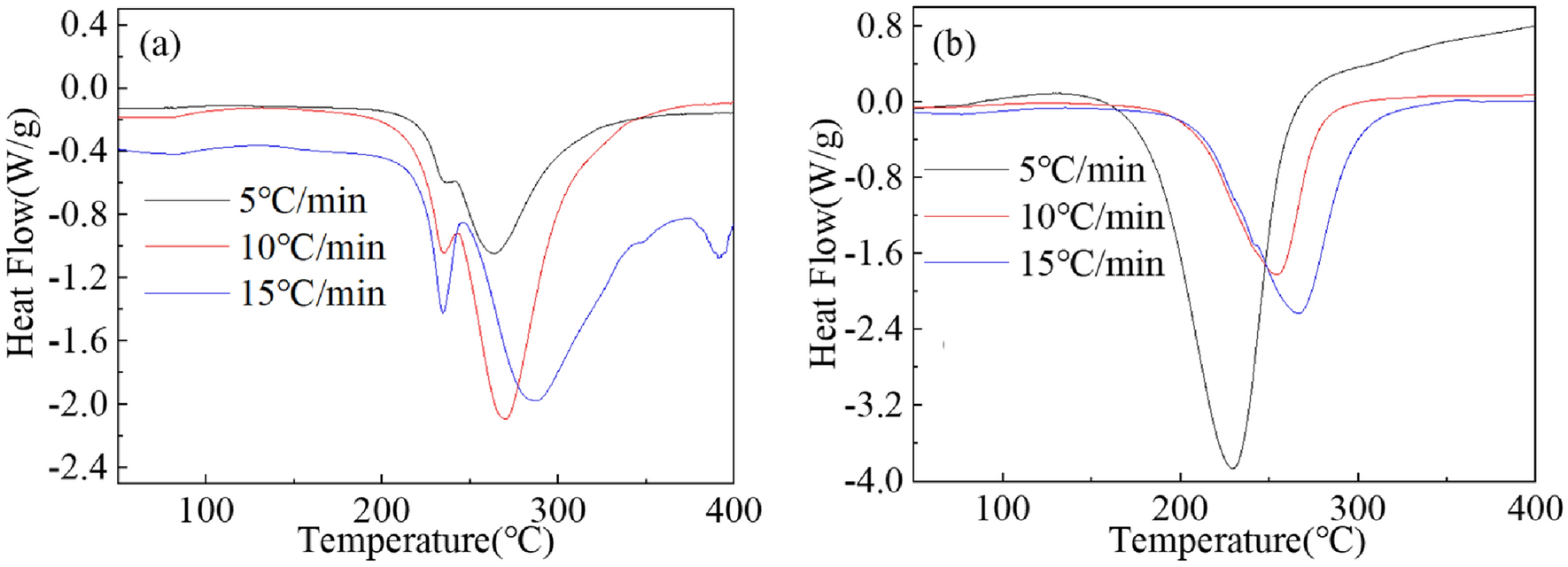
Figure 10

DSC curves of the dehydrogenation of the Mg2−xYxNi0.9Co0.1 alloy hydrides at different heating rates for (a) x = 0 and (b) x = 0.2.

DSC curves of the dehydrogenation of the Mg2−xYxNi0.9Co0.1 alloy hydrides at different heating rates for (a) x = 0 and (b) x = 0.2.