Figure 2
From: Chemotherapy is of prognostic significance to metaplastic breast cancer

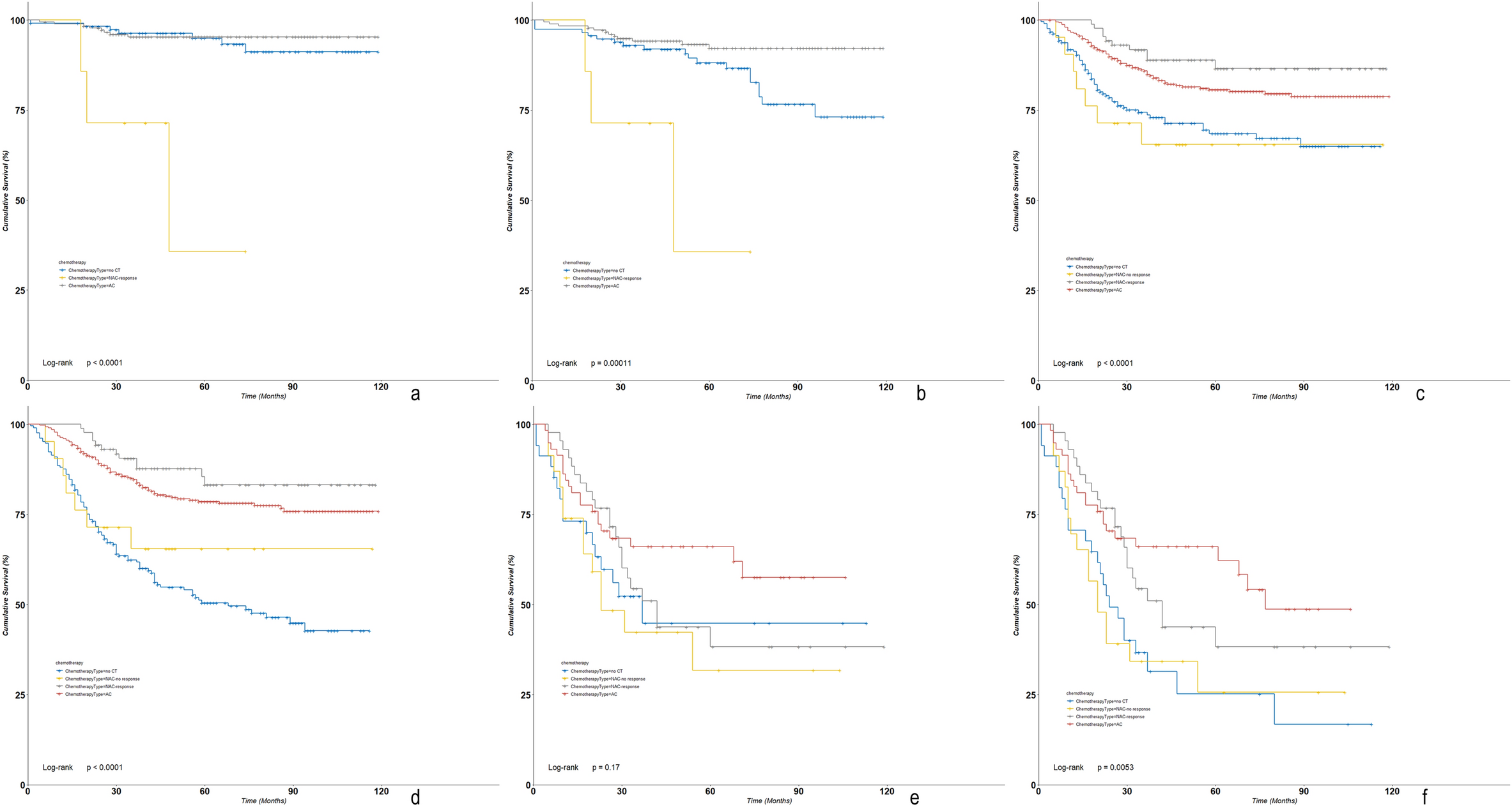
Subgroup analyses of Kaplan–Meier survival curves of BCSS and OS in MpBC based on tumor stage stratified by chemotherapy types ((a) KM curves of BCSS in stage I; (b) KM curves of OS in stage I; (c) KM curves of BCSS in stage II; (d) KM curves of OS in stage II; (e) KM curves of BCSS in stage III; (f) KM curves of OS in stage III).