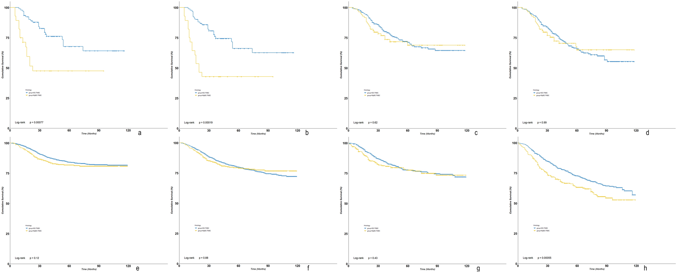
Figure 4
From: Chemotherapy is of prognostic significance to metaplastic breast cancer

Subgroup analyses of Kaplan–Meier survival curves of BCSS and OS based on chemotherapy types stratified by MpBC-TNBC and IDC-TNBC ((a) KM curves of BCSS in NAC-response; (b) KM curves of OS in NAC-response; (c) KM curves of BCSS in adjuvant CT; (d) KM curves of OS in adjuvant CT; (e) KM curves of BCSS in NAC-no response; (f) KM curves of OS in NAC-no response; (g) KM curves of BCSS in no CT; (h) KM curves of OS in no CT.