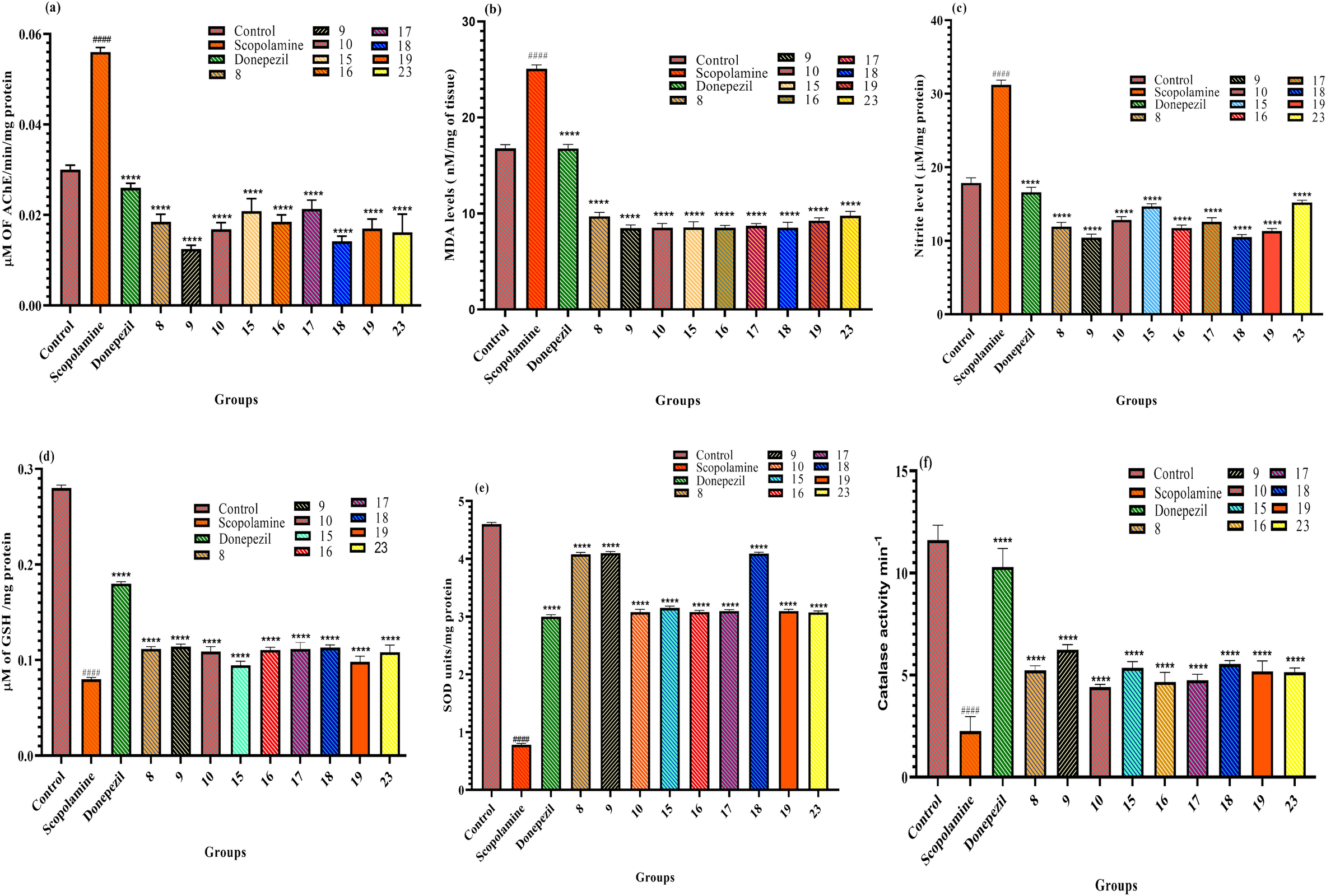
Figure 3

(a–f) Effect of compounds 8, 9, 10, 15, 16, 17, 18, 19 and 23 on acetylcholinesterase level (a), lipid peroxidation (b), nitrite level (c) and antioxidant profile (d–f) compared to the scopolamine treated group of mice. Values are expressed as Mean ± SD, n = 6. ####p < 0.0001 (positive control is compared with the normal control), ****p < 0.0001 (treatment groups are compared with positive control).