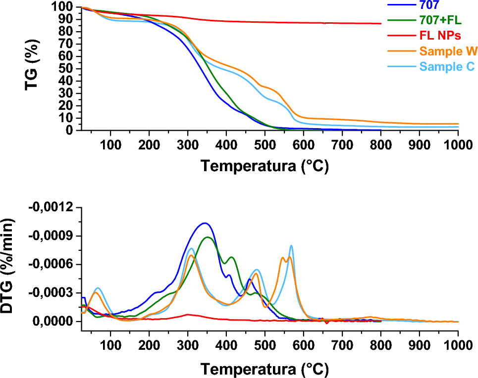
Figure 13

Thermogravimetric analysis was performed on flower-like NPs (red profile), chemicals 707 (blue profile), chemicals 707 with flower-like NPs (green profile), sample W (orange profile), sample C (cyan profile).

Thermogravimetric analysis was performed on flower-like NPs (red profile), chemicals 707 (blue profile), chemicals 707 with flower-like NPs (green profile), sample W (orange profile), sample C (cyan profile).