Figure 16

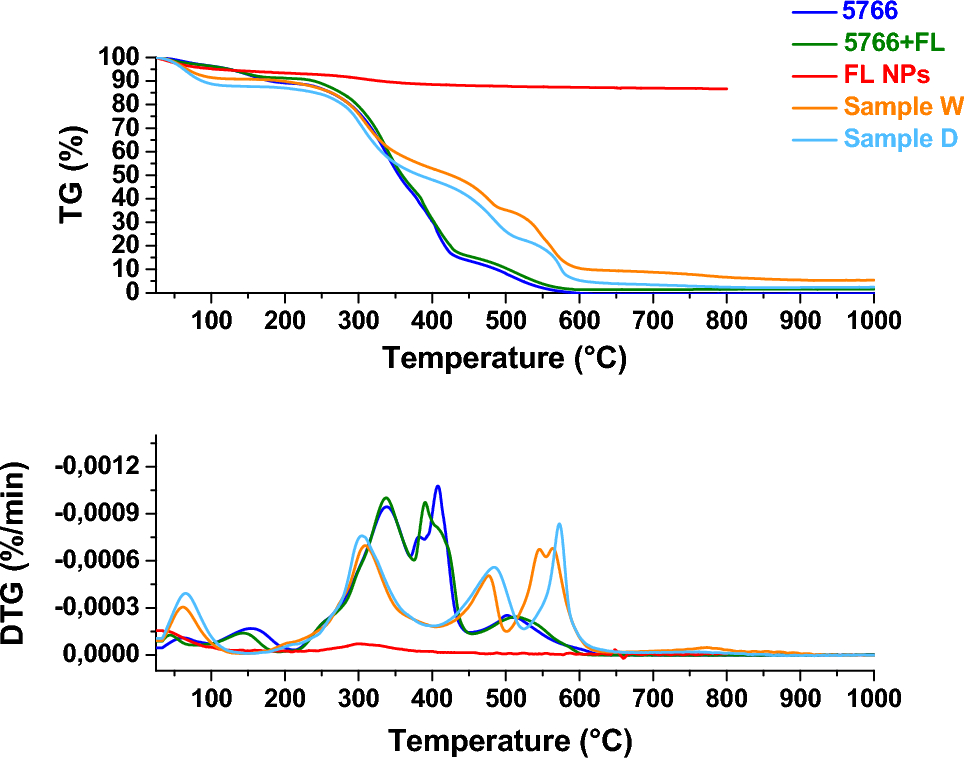
Thermogravimetric analysis was performed on flower-like NPs (red profile), chemicals 5766 (blue profile), chemicals 5766 with flower-like NPs(green profile), sample W (orange profile), sample D (cyan profile).

Thermogravimetric analysis was performed on flower-like NPs (red profile), chemicals 5766 (blue profile), chemicals 5766 with flower-like NPs(green profile), sample W (orange profile), sample D (cyan profile).