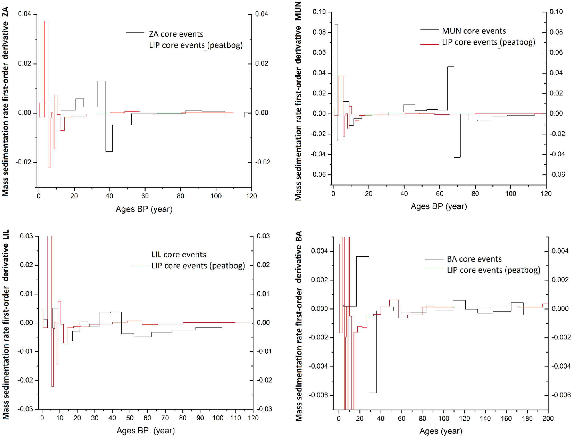
Figure 5

First-order derivative equation describing the acceleration of the change in sedimentation rate for each lake compared to the LIP peat bog, plotted against time.

First-order derivative equation describing the acceleration of the change in sedimentation rate for each lake compared to the LIP peat bog, plotted against time.