Figure 3
From: Development of a neural network-based automated eyelid measurement system

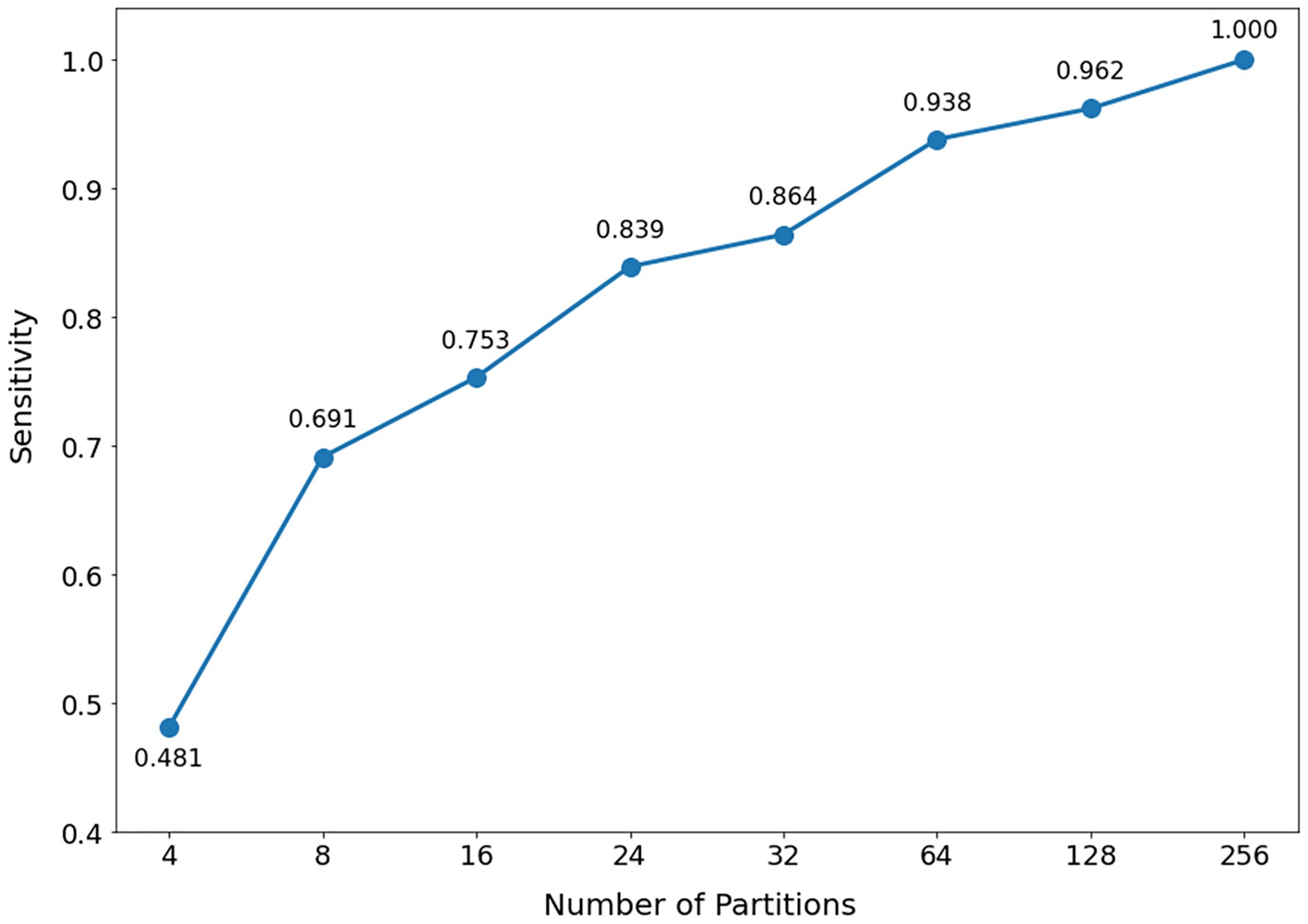
Experimental results evaluating the verification performance based on 4, 8, 16, 24, 32, 64, 128, and 256 partitions.
From: Development of a neural network-based automated eyelid measurement system

Experimental results evaluating the verification performance based on 4, 8, 16, 24, 32, 64, 128, and 256 partitions.