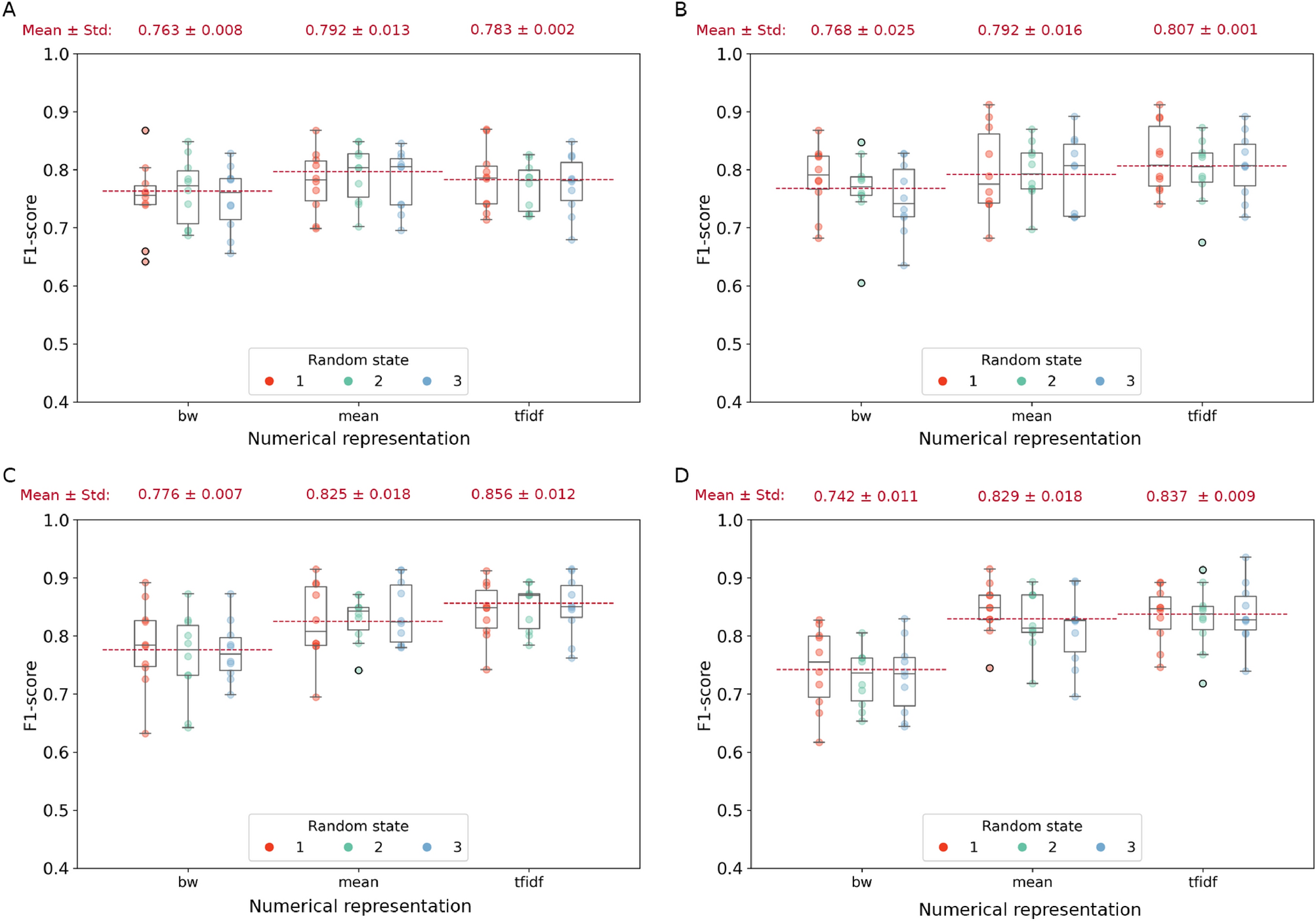
Figure 3

Weighted F1-scores for the localization task on testing set of (A) Sparse Logistic Regression, (B) SVM with linear kernel, (C) SVM with rbf kernel, and (D) SVM with polynomial kernel over the three fixed random states (red, light green, and light blue) and the three numerical representations (bw, mean, and tfidf). For each representation and random state, the weighted F1-score values of the k-folds are showed. The red dotted lines identify the mean of second quartiles over the three random states. Numbers at the top of each panel represent \(\mu \pm \sigma\) of the second quartiles over the three random states.