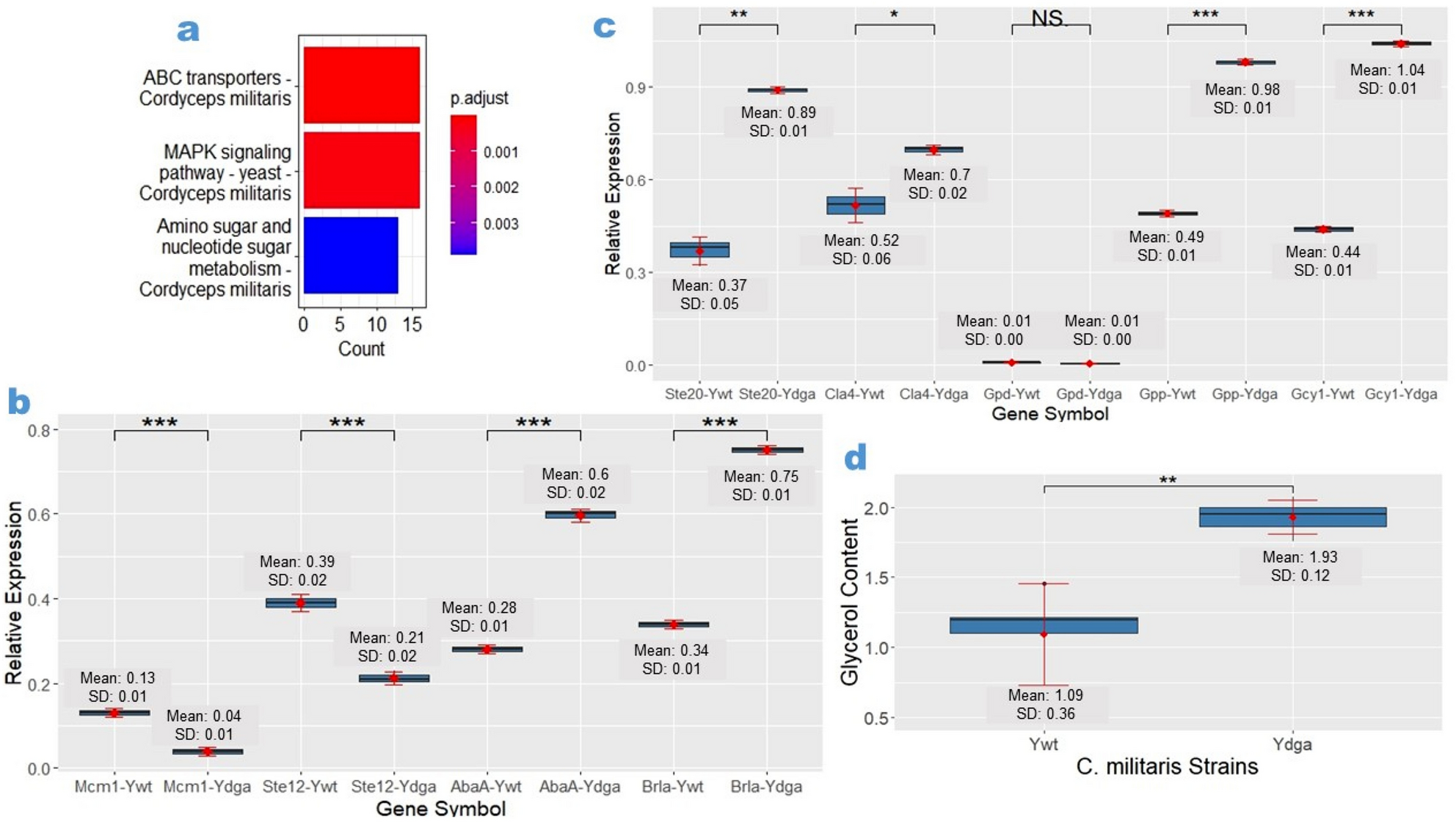
Figure 2

Dysregulation of the MAPK signaling pathway in C. militaris phenotypic degeneration. (a) Biological pathways considerably enriched in downregulated genes. (b,c) RT-qPCR expression analysis of genes involved in the MAPK pathway and associated with phenotypic degeneration, including genes related to sexual development, sporulation, and glycerol synthesis in the Ywt and Ydga strains. (d) Comparison of intracellular glycerol contents between Ywt and Ydga. The data are presented as ranges, means, and standard deviations, with a sample size of n = 5 for intracellular glycerol contents and n = 3 biological replicates for RT-qPCR. *, **, *** represents a significant difference (actual p values are presented in supplementary Table S5–S6). SD refers to standard deviation. Gene symbols indicates the tested genes in the corresponding strains. Significance was determined using a one-tailed t-test for two independent means, with an alpha level of 0.05.