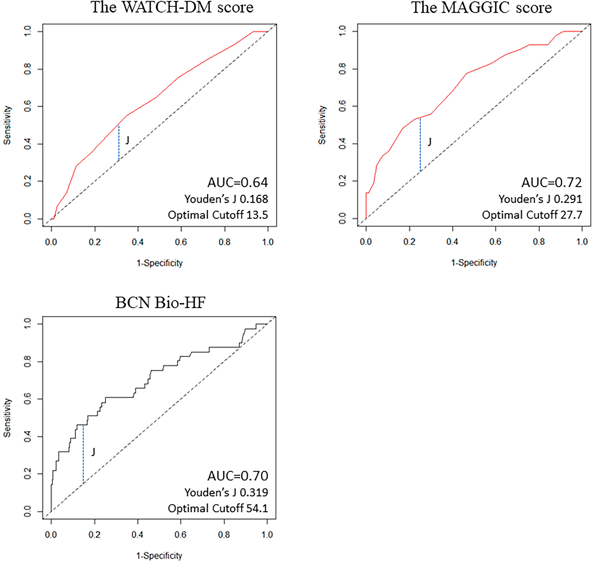
Figure 4

Time-dependent ROC curves for the prediction of 1-year mortality. Time-dependent ROC curves of the WATCH-DM score (top, left), the MAGGIC score (top, right) and BCN Bio-HF (bottom) for all-cause death at 1 year after hospitalization. Vertical dotted lines (J) indicated maximum value of Youden's J statistics. The areas under the curve (AUCs) of the WATCH-DM score and MAGGIC score were 0.64 (95% CI 0.45 to 0.74) and 0.72 (95% CI 0.63 to 0.80), respectively. The AUC of BCN Bio-HF was 0.70 (95% CI 0.61 to 0.80), which was not different from that of the WATCH-DM risk score (p = 0.25).