Figure 1
From: Memory type Max-EWMA control chart for the Weibull process under the Bayesian theory

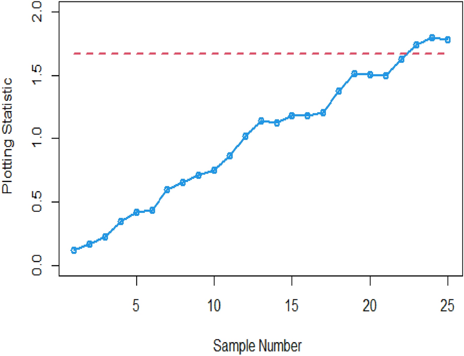
Using SELF, the Bayesian Max-EWMA CC using Weibull process for jointly monitoring with \(\lambda = 0.10\).
From: Memory type Max-EWMA control chart for the Weibull process under the Bayesian theory

Using SELF, the Bayesian Max-EWMA CC using Weibull process for jointly monitoring with \(\lambda = 0.10\).