Figure 1
From: PRKCSH serves as a potential immunological and prognostic biomarker in pan-cancer

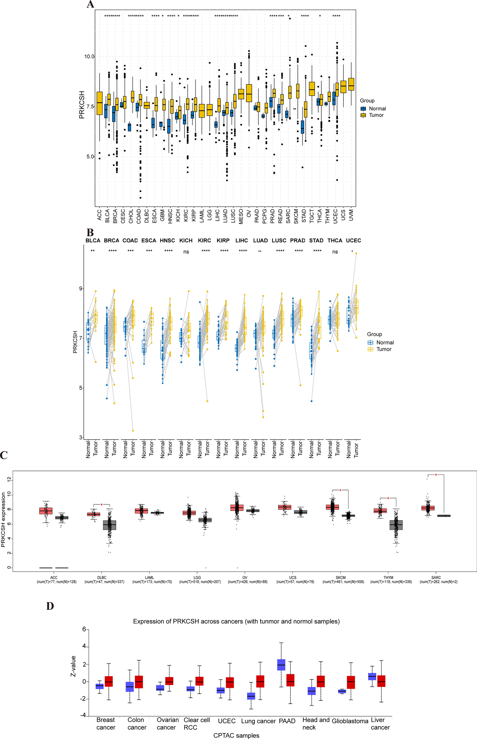
Pan-cancer PRKCSH expression levels. (A) The differences of PRKCSH mRNA expression between tumor and normal samples in 33 cancers based on TCGA. (B) Analysis of PRKCSH mRNA expression between tumor samples and paired non-tumor normal specimens using data from TCGA. (C) Expression levels of PRKCSH mRNA in ACC, DLBC, LAML, LGG, OV, UCS, SKCM, THYM and SARC using data integration from TCGA and GETx. (D) The expression levels of PRKCSH protein in different tumors in the CPTAC database. Red and blue color represent cancerous and normal tissues, respectively. ns P > 0.05; *P < 0.05; **P < 0.01; ***P < 0.001.