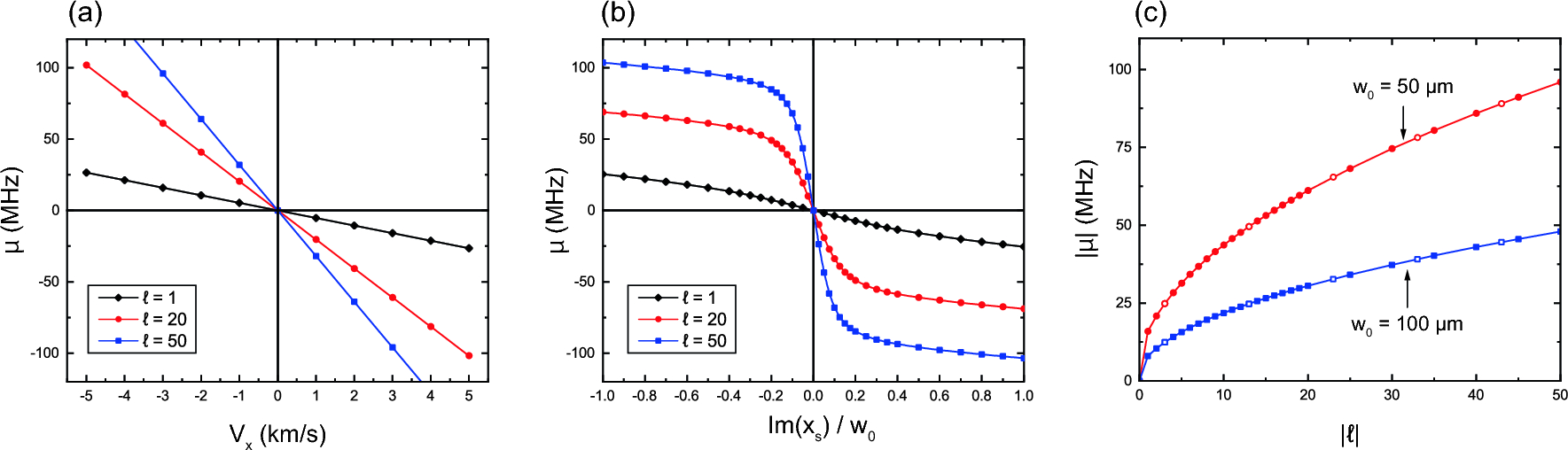
Figure 4

Frequency shift of the LIF spectrum (\(\mu \)) as a function of (a) transverse flow velocity, (b) asymmetry parameter, and (c) TC. The beam width and asymmetry parameter in (a) are \(w_0=50\) \(\mu \)m and \([\text {Im}(x_\text {s}), \text {Im}(y_\text {s})]=[-w_0/2, 0]\). The diamonds (black), circles (red), and squares (blue) are for \(\ell =1\), 10, and 50, respectively. In (b), the beam width is \(w_0=50\) \(\upmu \)m, the transverse flow is \(V_x=-3\) km/s (\(V_y=V_z=0\)), and the asymmetry parameter is \([\text {Im}(x_\text {s}), \text {Im}(y_\text {s})]=[-w_0/2, 0]\). In (c), the closed and open symbols are for \(\ell >0\) and \(\ell <0\), respectively, and the asymmetry parameter and transverse flow velocity are the same as in (a) and (b), respectively.