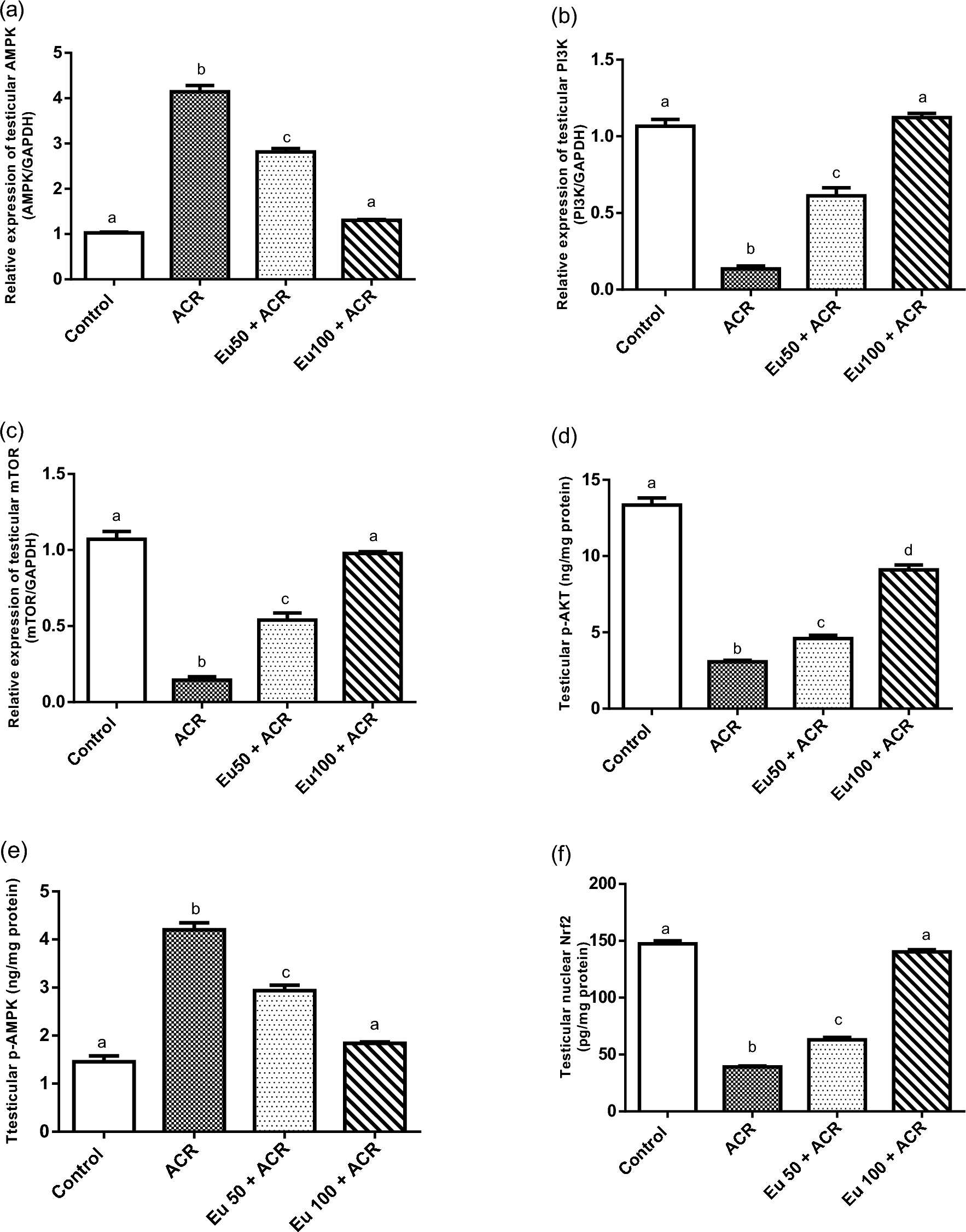
Figure 3

Effect of eugenol treatment on testicular AMPK (a), PI3K (b) and mTOR (c) gene expression, and testicular p-AKT content (d), p-AMPK (e) and nuclear Nrf2 (f) in ACR-induced testicular toxicity in rats. Data are expressed as mean ± SEM (n = 6). Columns with dissimilar letters are significantly different at p < 0.05.