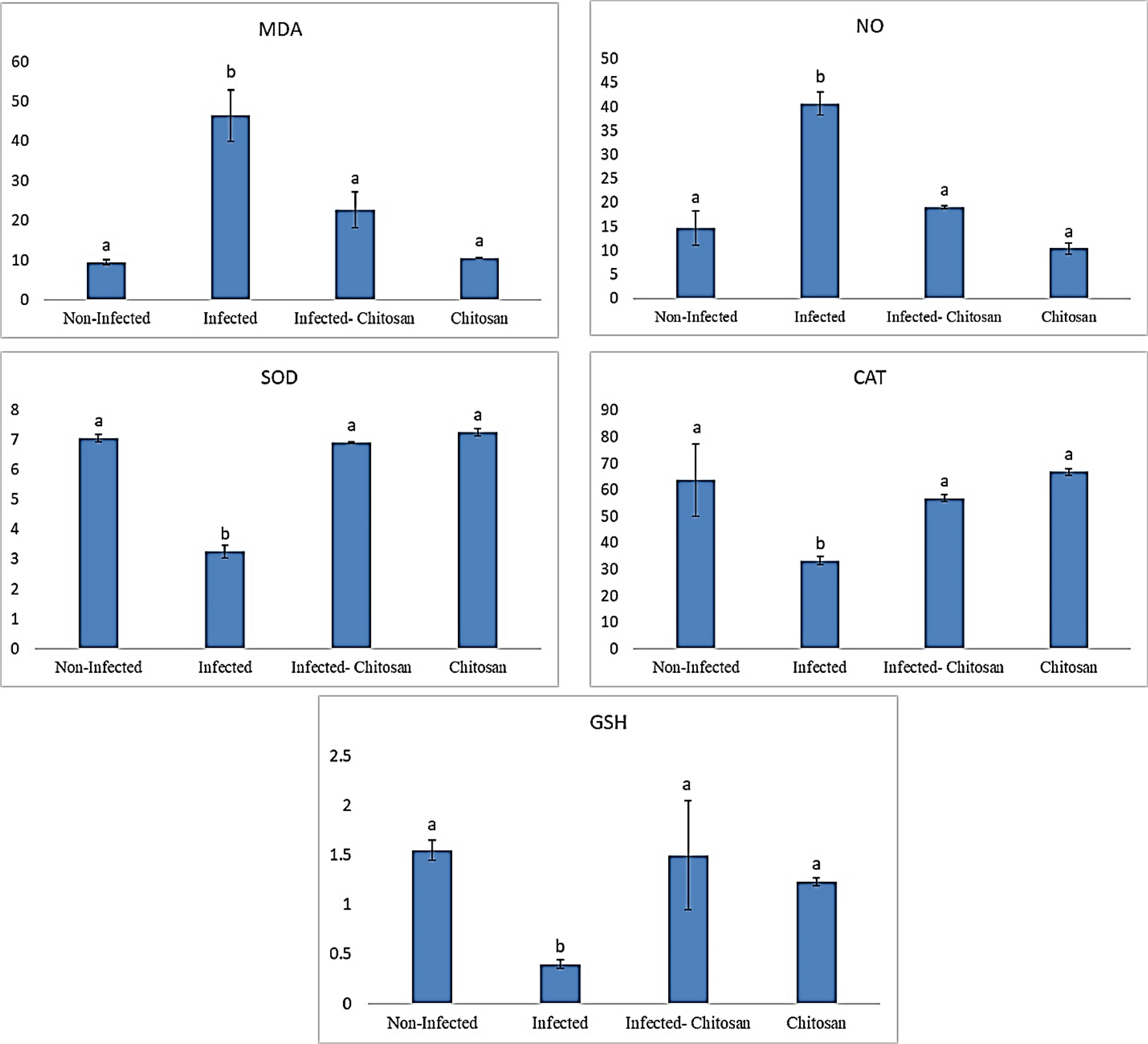
Figure 6

Levels of oxidative stress markers; malondialdehyde (MDA), nitric oxide (NO), superoxide dismutase (SOD), catalase (CAT) and reduced glutathione (GSH) in all studied groups. Data represented as mean ± SEM (n = 7), values with different superscript letters are considered statistically significant (P < 0.05).